【数据与结果】
1.测量平凸透镜的曲率半径
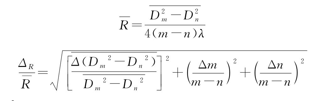
(1)将测量数据填入表2-29。钠光波长λ=5.893×10-4mm,环数差m-n=10。
表2-29 测量平凸透镜曲率半径 单位:mm

(2)确定平凸透镜曲率半径R 的最佳值和不确定度ΔR。
式中,Δm=Δn=0.1(https://www.daowen.com)
(3)写出实验结果:
并作分析和讨论。
2.测量薄片的厚度
(1)将数据填入表2-30,并计算L10和L 的平均值。
表2-30 测量薄片的厚度 单位:mm
(2)计算纸片厚度e 的最佳值
和不确定度Δe(要求考虑仪器误差)。
(3)写出实验结果:
,并作分析和讨论。