【数据与结果】
2025年09月26日
【数据与结果】
1.数据记录表(表2-7)
表2-7 空气导热系数测量记录表_

2.数据处理
(1)外推法求Q。鉴于 是线性方程,故以
为纵坐标,P-1为横坐标,则沿各实验数据点可作出一条最佳直线,该直线在纵轴上的截距即Q-1,如图2-14所示。从而可求出Q 值,它是在常压下T1~T2之间气体耗散的平均热功率。

图2-14 外推法求Q
(2)求T1与T2。实验时的室温可近似地作为测量室的壁温T2。热线温度T1可通过t1=(R-R0)/α·R0求出,式中T1=273+t1,R0是钨丝在0℃时的电阻值,它将由实验室给出;R 为实验测量时的热线电阻(即热线恒温为T1时的电阻),它等于U/I;温度系数α=5.1×10-3C-1。
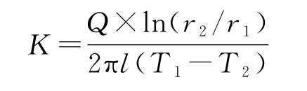
(3)求T1~T2之间的平均导热系数。依实验室给出的r1、r2和l,再根据求出的Q、T1、T2,利用式(2-16)即可求出空气在T1~T2间的平均导热系数。

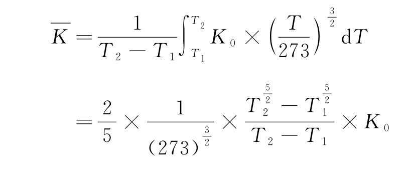
(4)求T1~T2间平均导热系数的理论值。气体的导热系数与温度有关,从手册中可查出0℃时某些气体的导热系数,见表2-8。
表2-8 0℃时某些气体的导热系数_

T1~T2间的平均导热系数:

将所得的T1~T2之间的平均导热系数与K 值比较,即可求出测量的相对误差:

3.测量氢气或其他气体的导热系数
基本操作方法与实验内容相同,但须注意:
(1)待测气体样品由针阀及三通Ⅱ的4、5接通放入测量室。
(2)氢气的导热系数特别大,为避免电表读数超量程,热线的设定电阻值应降到60~70Ω,而且在向测量室充气时可切断对热线的电压输出(避免电表读数将因超量程而溢出),待稍稍抽气后再接通热线电压。