【实验原理】
迈克尔逊干涉仪光路图如图2-90所示,M1、M2是一对精密磨光的平面反射镜,M1位置固定,M2可沿导轨前后移动,G1、G2是厚度和折射率完全相同的一对平行玻璃板,与M1、M2均成45°角。G1称为分光板,其一个表面镀有半反射、半透射膜,经过膜后反射光、透射光强度大致相等。当光线射向G1板上时,在半透膜上分成互相垂直的两束光,透射光束(2)射向M1镜,经M1反射后,透过G2,在G1半透膜上反射后射向E;反射光束(1)射向M2镜,经M2反射后,透过G1射向E。由于光线(1)前后共三次经过G1,而光线(2)只经过G1一次,有了G2它们在玻璃中光程便相等了,于是计算两束光光程差时,只要计算两束光在空气中的光程差就可以了。所以G2称补偿板。

图2-90 迈克尔逊干涉仪光路图
由此可见,这种装置使相干的光束在相干之前分别走了很长的路程,观察者自E 处向G1板看去,除可直接看到M1镜在G1板的反射像,还可看到来自M'1的虚像。对于观察者来说,M1、M2镜所引起的干涉,显然与M2、M'1之间所“形成”空气层的干涉等效。因此在考虑干涉时,M'1、M2镜之间的空气层就成为仪器的一部分。本仪器设计的优点也就在于M'1不是实物,因而可以任意改变M'1、M2镜之间的距离,可以使M2在M'1镜的前面、后面,也可以使它们完全重叠或相交。
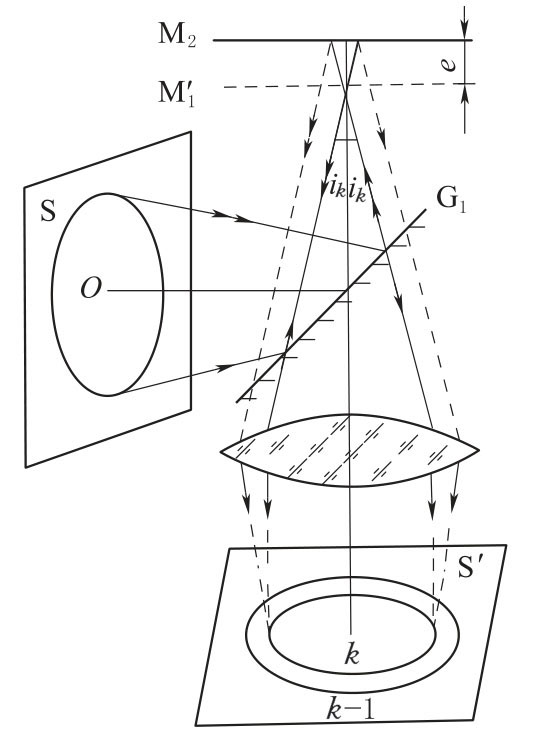
1.单色点光源的非定域干涉
如果用He-Ne激光器作光源,如图2-91所示,激光通过短焦距L 会聚成一个强度很高的点光源S,射向迈克尔逊干涉仪,点光源经M1、M2反射后,相当于两个点光源S'1和S'2发出相干光束。S'是S的等效光源,是经半反射面所形成的虚像。S'1和S'2分别是S经M'1和M2所形成的虚像。只要观察屏放在两点光源发出光波的重叠区域内,都能看到干涉现象,这种干涉称为非定域干涉。如果M2和M'1严格平行,且观察屏放在S'1和S'2的连线上,就能看到一组明暗相间的同心圆干涉环,其圆心位于S'1S'2轴线与屏交点P0处。从图2-92知,P0处的光程差Δ=2d,屏上其他点P'或P″的光程差近似为

式中:φ 为S'2射到P″点的光线与M2法线之间的夹角。
当2dcosφ=kλ 时为明条纹;当2dcosφ=(2k+1)λ/2时为暗条纹。式中k 为整数1,2,3,…。

图2-91 点光源干涉光路图

图2-92 点光源产生的非定域干涉条纹
从图2-92可以看出,以P0为圆心明暗相间干涉同心环是从虚光源发出倾角接近的光线干涉的结果。
眼睛盯着第k 级亮纹不放,改变M'1与M2的相对位置,使其间隔d 增大,若要保持2dcosφ=kλ不变,则必须减小cosφ,因此φ 必须增大,这就意味着干涉条纹从中心向外“冒出”。反之当d 减小,则cosφ 必然增大,也就意味着φ 减小,所以相当于干涉圆环一个一个地向中心“缩进”。因为在圆环中心φ=0,cosφ=1,故

可见,干涉条纹从中心“冒出”(或向中心“缩进”)一圈,M2与M'1之间的距离d就增大(或减小)λ/2,如果M2移动距离Δd,相应冒出或缩进干涉环条纹数为N,则有

只要从干涉仪上测读出Δd,可以计算出此时光波的波长λ。
非定域干涉条纹特点:较高级次干涉条纹在较低级次干涉条纹内侧,越靠近中心,干涉条纹级次越高。在中心φ=0处,干涉条纹级次最高。条纹随M2与M'1的距离d 增大越来越密,屏上干涉圆环个数越来越多;随M2与M'1的距离d 减少越来越疏,屏上干涉圆环个数越来越少。此外,干涉环中心条纹粗而疏,越往边缘越细而密。
2.定域干涉现象观察
(1)等倾干涉。若以钠灯作光源,当M2与M'1完全平行时,将获得等倾干涉,其干涉条纹的形状决定于来自光源平面上的入射角i(图2-93),在垂直于观察方向的光源平面S上,自以O 点为中心的圆周上各点发出的光以相同的倾角ik,入射到M2、M'1之间的空气层,所以它的干涉图样是同心圆环,其位置取决于光程差Δ。

图2-93 面光源等倾干涉
从图2-93看出:

当2ecosik=kλ(k=1,2,3,…)时,将看到一组亮圆纹。第k 级和第k+1级亮纹满足

当ik较小时,可计算相邻两条纹的角距离Δik为

由式(2-89)知,ik+1<ik,较高级次干涉条纹在较低级次干涉条纹内侧,越靠近中心,干涉条纹级次越高。在中心处i=0最大,干涉条纹级次最高。若中心为第k 级亮纹,则从中心往外亮纹依次分别为第k-1级、第k-2级、第k-3级、…。当ik一定时,e 越大Δik越小,条纹随e 的增大越来越密;当e 一定时,ik越大,Δik越小,所以干涉环中心疏,边缘密。
(2)等厚干涉。如果M1不严格垂直于M2,即M2与M'1成一很小的交角(交角太大则看不到干涉条纹),则出现等厚干涉条纹。
随着光程差Δ 的增大,即楔形空气薄膜的厚度由0逐渐增加,则直条纹将逐渐变成双曲线、椭圆等。若空气薄膜的厚度由0逐渐向另一方向增大,则直线条纹也将逐渐变成双曲线、椭圆等,只不过曲率要反号,如图2-94所示。

图2-94 楔形空气薄膜等厚干涉条纹变化
(3)白光干涉条纹(彩色条纹)。如果用白光作光源,白光是复色光,相干长度非常短,而明暗纹位置与波长有关,只有在e=0的附近(几个波长范围内)才能看到干涉花纹,在正中央M2、M'1交线处(e=0),对各种波长的光来说,其光程差均为0,故中央条纹不是彩色的。两旁有十几条对称分布的彩色条纹,e 再大时因对各种不同波长的光其满足明暗纹的情况也不同,所产生的干涉花纹明暗互相重叠,结果显不出条纹来。只有用白光才能判断出中央花纹,而利用它可定出e=0的位置。