实验十七 光电效应测定普朗克常数
2025年09月26日
实验十七 光电效应测定普朗克常数
当光照射在物体上时,光的能量只有部分以热的形式被物体所吸收,而另一部分则转换为物体中某些电子的能量,使这些电子逸出物体表面,这种现象称为光电效应。在光电效应这一现象中,光显示出它的粒子性,所以深入观察光电效应现象,对认识光的本性具有极其重要的意义。
普朗克常数h 是1900年普朗克为了解决黑体辐射能量分布时提出的“能量子”假设中的一个普适常数,是基本作用量子,也是粗略地判断一个物理体系是否需要用量子力学来描述的依据。
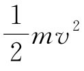
1905年爱因斯坦为了解释光电效应现象,提出了“光量子”假设,即频率为ν 的光子能量为hν。当电子吸收了光子能量hν 之后,一部分消耗电子的逸出功W,另一部分转换为电子的动能,即

式(3-1)称为爱因斯坦光电效应方程。1916年密立根首次用油滴实验证实了爱因斯坦光电效应方程,并在当时的条件下,较为精确地测得普朗克常数为h=6.57×10-34J·s,其不确定度大约为0.5%。这一数据与现在的公认值比较,相对误差也只有0.9%。为此,1923年密立根因这项工作而荣获诺贝尔物理学奖。
目前利用光电效应制成的光电器件和光电管、光电池、光电倍增管等已成为生产和科研中不可缺少的重要器件。