【实验原理】
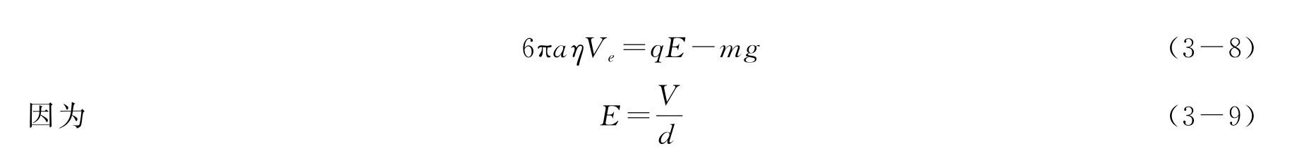
一个质量为m,带电量为q 的油滴处在两块平行极板之间,平行板水平放置。在平行极板未加电压时,油滴受重力作用而加速下降。由于空气阻力的作用,下降一段距离后,油滴将作匀速运动,速度为Vg,这时重力与阻力平衡(空气浮力忽略不计),如图3-12所示。根据斯托克斯定律,黏滞阻力为fr=6πaηVg,式中η 是空气的黏滞系数,a 是油滴的半径,这时有

当在平行极板上加电压V 时,油滴处在场强为E 的静电场中,设电场力qE 与重力相反(图3-13),使油滴受电场力加速上升。由于空气阻力作用,上升一段距离后,油滴所受的空气阻力、重力与电场力达到平衡(空气浮力忽略不计),则油滴将以匀速上升,此时速度为Ve,则有

图3-12 油滴受力

图3-13 油滴在电场中匀速上升

由上述式(3-7)~式(3-9)可解出

为测定油滴所带电荷q,除应测出V、d 和速度Vg、Ve外,还需知油滴质量m,由于空气中悬浮和表面张力作用,可将油滴看作圆球,其质量为

式中:ρ 为油滴的密度。
由式(3-7)和式(3-11),得油滴的半径

考虑到油滴非常小,空气已不能看成连续媒质,空气的黏滞系数η 应修正为

式中:b 为修正系数;p 为空气压强;a 为未经修正过的油滴半径,由于它在修正项中,不必计算得很精确,由式(3-12)计算就够了。
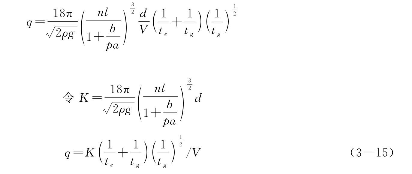
实验时取油滴匀速下降和匀速上升的距离相等,都设为l,测出油滴匀速下降的时间tg,匀速上升的时间te,则

将式(3-11)~式(3-14)代入式(3-10),可得

式(3-15)是动态(非平衡)法测油滴电荷的公式。
下面导出静态(平衡)法测油滴电荷的公式。
调节平行极板间的电压,使油滴不动,Ve=0,即te→∞,由式(3-15)可得

式(3-16)即为静态法测油滴电荷的公式。
为了求电子电荷e,对实验测得的各个电荷q 求最大公约数,就是基本电荷e 的值,也就是电子电荷e。