一、文章的起草

一、文章的起草

(一)拟制提纲的重要性

起草就是文章开始形成的阶段。写作是一个过程,起草是作者将酝酿、思考的结果付诸文字的重要转换环节。每位作者都有自己的写作习惯。我们提倡:不论哪类文体的写作,较短的文章可以打腹稿。但是,较长篇幅的文章,起草的第一步必须是拟制提纲,将文章内容框架的轮廓勾勒出来。因为,拟制提纲对全文起疏通结构、安排材料、总揽全局的重要作用,提纲是由序码和文字所组成的一种将文章内在的逻辑关系视觉化的形式(图7-4)。

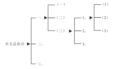
图7-4 议论文提纲序号示样

这个图中的一、二、三表示本文三大论述部分,或论述的问题。其中(一)、(二)、(三)表示从属于第一分论点的,1、2、3又从属于(三)之中,以此类推。从中可以看出下位论点(或段旨)从属上位论点。这个图将大大小小的论点(或段旨)之间的关系十分清晰地展示出来了。尽管图简单,但它把复杂的逻辑关系条理化、视觉化。而且,它符合人们的认识规律:人们认识事物总要经过分析、综合的过程,既要把一个整体事物分解开,又要把它的一个个部分综合起来,以此达到对事物全面地认识和掌握。

(二)提纲写作的内容和方法

1.提纲写作内容

题 目

主 题:__________________

内容提要:

一、大项目(上位论点,大段的段旨)

(一)中项目(下位论点,段旨)

1.小项目(段中一个个材料)

……

2.提纲写作的方法

(1)标题式提纲写法,就是以标题的形式,运用简要的语言文字把该部分的内容概括出来。它的长处是:简明扼要,能一目了然。短处是:只能自己了解,别人不易明白。而且时间稍长,一些问题自己也会模糊。这种方法,我们称其为粗线条提纲。

例7-27

汽车整车性能试验报告(目录)

一、试验概述

(一)试验依据

(二)试验目的

(三)试验车辆

(四)试验参加者

……(略)

二、汽车整车性能试验

(一)汽车技术状况的检查试验

(二)汽车主要结构参数和技术特性参数的测定

1.汽车重量参数的测定

2.汽车轮胎气压

3.汽车外部尺寸的测定

4.汽车内部尺寸的测定

5.汽车最小转弯半径

(三)汽车道路试验

6.汽车滑行试验

7.最小稳定车速

8.加速性能试验

(1)起步连续换挡加速性能

(2)直接挡加速性能

……(略)

三、试验结论

汽车整车性能试验结果汇总表

汽车整车性能试验曲线图

(选自:蒋瑞松.实用科技写作手册.上海:上海交通大学出版社,2000.)

以上的小标题拟定了,就确定了文章的布局与层次,然后把掌握的材料分门别类写入各小标题中,即成文章。

(2)句式写法,也称中心句写法。运用较多的语言,把该部分内容概括出来。它包括中心内容和细节表述。它的长处是:具体明确,无论放下多久,都不会忘记其内容,别人看了也能明白。其短处是:文字多,写起来要花费较多的时间和精力。我们称其为细线条提纲。

一般的句式表达往往采用陈述式的句子。但是,提问式句子,语感活泼,可以避免重复、呆板的行文弊病,同样可行。

以上拟制提纲的两种方法均可使用。具体采用哪一种方法,或者将两种方法交叉使用,取决于文章的体裁、内容、篇幅和自己的写作习惯。

(三)动手写初稿

写初稿时应注意以下几点:

1.确定体裁 从容成文

各类文体有其自身的特点,在确定体裁时,由于一种文体还有多种结构形式,所以还应进一步确定该体裁中的具体结构形式,以期做到体裁合宜,规范灵活。

2.依据提纲 捕捉灵感

在写作时尽可能按照提纲规定的范围去写,不要轻易更改提纲的内容。但是,动笔写时,写作者的思维也是最活跃的时刻,材料和观点、问题和答案……交织过程中会产生新的思维火花,这时切莫忽视,应把它捕捉到。新的东西可以另外形成文章,也可以重新斟酌或变动已有的提纲。

3.详细表述 顺应自然

在依据提纲写作的基础上,每部分的内容尽量详细表述,凡能想到的尽量写出来,为下一步文章修改提供选择的基础。同时,在写作时遇到某部分暂时写不出来时,我们不主张硬写。间隔一段时间,重新思考,研究材料,就可找出写不出来的症结,对症下药,不可操之过急。