学术论文写作的基本结构与写作要求

三、学术论文写作的基本结构与写作要求

(一)社会科学类论文的基本结构与写作要求

社会科学类论文主要是指理论性的论文,包括财会、商务管理等文科学科的论文。其基本结构一般包括三部分:序论、本论、结论。

1.序论

序论也叫前言、引言、导论或绪论,它是论文的开头部分。社会科学类论文的序论的内容,一般包括选题的背景、缘由、意义和目的,或研究的目的、范围、方法及所取得的成果,也可以对本文的基本观点、本论部分的基本内容做一个扼要的介绍。序论的写法主要有以下几种:

(1)交代式。开头交代论文写作背景、缘由、目的和意义。

(2)提问式。一开头就提出问题,或在简要交代写作背景之后随即提出本文所要解决的问题。

(3)出示观点式。序论开宗明义,将本文的基本观点或主要内容揭示出来。(4)提示范围式。序论部分提示本文的论述范围。

(5)阐释概念式。序论先释题,阐释题目中和文中出现的基本概念。

2.本论

本论是论文的主体部分,是分析问题、论证观点的主要部分,也是最能显示作者的研究成果和学术水平的重要部分。一篇论文质量的高低,主要取决于本论部分写得怎样。本论部分的要求,一是论证充分,说服力强;二是结构严谨,条理清楚;三是观点和材料相统一。下面分别加以说明。

(1)论证充分,说服力强。本论部分最主要的任务是组织论证,以理服人。

(2)结论严谨,条理清楚。本论的篇幅长、容量大、层次较多、头绪纷繁,如果不按一定的次序来安排文章内容,就会层次不清,结构混乱,大大降低表达的效果。根据层次之间的不同关系,可以把本论部分的结构形式划分为并列式、递进式和混合式3种类型。

A.并列式结构,又称平列式结构或横式结构。它的特点是,围绕中心论点划分为几个分论点和层次,各个分论点和层次平行排列,分别从不同角度、不同侧面论证中心论点,使文章呈现出一种多管齐下、齐头并进的格局。

B.递进式结构,又称为推进式结构或纵式结构。它对需要论证的问题,采取一层深于一层的形式安排结构,使层次之间呈现一种层层展开、步步深入的逻辑关系,从而使中心论点得到深刻透彻的论证。

C.混合式结构,也称并列递进式结构或纵横交叉式结构。有些论文的层次关系特别复杂,不能只用一种单一的结构形式,需要把并列式和递进式结合起来,形成一种混合的结构形式。采用混合式结构,又有两种形式:一是在并列的过程中,在每一个并列的面上,又展开递进(并列中的递进);一是在递进的过程中,在每一个递进层次上,又展开并列(递进中的并列)。这种方法比前两种更复杂,也更难掌握一些。

为了避免由于内容过多而使条理不清,写作本论时,常在各个层次之前加一些外在的标志,这些外在标志的主要形式有小标题、序码、小标题与序码相结合及空行等几种。

(3)观点和材料相统一。本论部分的内容是由观点和材料构成,写好本论要求将观点和材料有机地结合起来,以观点统帅材料,以材料证明观点。

3.结论

结论是一篇论文的收束部分,是以研究成果和讨论为前提,经过严密的逻辑推理和论证所得出的最后结论。论文的结论要提出论证结果。在这一部分中,作者应对全篇文章所论证的内容做一个归纳,提出自己对问题的总体性看法和意见,指出进一步研究的方向。在论文结论部分,作者常常不仅概括自己的研究成果,而且还指出课题研究中所存在的不足,为他人继续研究指明方向、提供线索。

写好结论,应该注意两点:第一,要使结论部分真正起到收束全文的作用,一般不要提出新的观点或材料;第二,结论的语言要简洁有力,给读者留下深刻的印象。还要避免两种错误:一是草草收尾,不当止而止;二是画蛇添足,当止而不止。在结论部分的最后,也可以写上几句谢辞,向在本篇文章的撰写过程中,曾给予自己帮助的人表示谢意。谢辞要写得感情诚恳,言语得体,不要过多的溢美之词。

(二)自然科学类论文的基本结构与写作要求

自然科学类论文的基本结构一般包括题名、作者及其工作单位、摘要、关键词与中国图书分类号、引言、正文、结论、致谢、参考文献九个方面。不同类型的论文各有侧重。

1.题名

又称题目或标题。题名是以最恰当、最简明的词语反映论文中最重要的特定内容的逻辑组合。

论文题目是一篇论文给出的涉及论文范围与水平的第一个重要信息,也是必须考虑到有助于选定关键词和编制题录、索引等二次文献可以提供检索的特定实用信息。论文题目十分重要,必须用心斟酌选定。有人描述其重要性,用了下面的一句话:论文题目是文章的一半。对论文题目的要求是:准确、得体、简短、精练、醒目。

2.作者及其工作单位

这一项属于论文署名问题。署名一是为了表明文责自负,二是记录作者的劳动成果,三是便于读者与作者的联系及文献检索(作者索引)。大致分为两种情形,即:单个作者论文和多个作者论文。后者按署名顺序列为第一作者、第二作者……,重要的是坚持实事求是的态度,对研究工作与论文撰写实际贡献最大的列为第一作者,贡献次之的,列为第二作者,依此类推。注明作者所在单位同样是为了便于读者与作者的联系。

3.摘要

论文一般应有摘要,有些为了国际交流,还有外文(多用英文)摘要。它是对论文内容不加注释和评论的简短陈述。其作用是不阅读论文全文即能获得必要的信息。

摘要应包含以下内容:

(1)从事这一研究的目的和重要性。

(2)研究的主要内容,指明完成了哪些工作。

(3)获得的基本结论和研究成果,突出论文的新见解。

(4)结论或结果的意义。

论文摘要虽然要反映以上内容,但文字必须十分简练,要求把本文的创新观点、创新内容充分概括,篇幅大小一般限制其字数不超过论文字数的5%。例如,对于6 000字的一篇论文,其摘要一般不超出300字。

4.关键词与中国图书分类号

关键词属于主题词中的一类,是用来描述文献资料主题和给出检索文献资料的一种新型的情报检索语言词汇。正是由于它的出现和发展,才使得情报检索计算机化(计算机检索)成为可能。

关键词或主题词的一般选择方法是:

由作者在完成论文写作后,纵观全文,先写出能表示论文主要内容的信息或词汇,这些出处或词汇,可以从论文标题中去找和选,也可以从论文内容中去找和选。

中国图书分类号是根据论文的内容由《中国图书馆分类法》的标准进行分类,共分为22大类,由英文字母和数字组成。

5.引言

引言又称前言,属于整篇论文的引论部分。其写作内容包括研究的理由、目的、背景、前人的工作和知识空白、理论依据和实验基础、预期的结果及其在相关领域里的地位、作用和意义。

6.正文

正文是一篇论文的本论,属于论文的主体,它占据论文的最大篇幅。论文所体现的创造性成果或新的研究结果,都将在这一部分得到充分的反映。因此,要求这一部分内容充实,论据充分、可靠,论证有力,主题明确。为了满足这一系列要求,同时也为了做到层次分明、脉络清晰,常常将正文部分分成几个大的段落。这些段落即所谓逻辑段,一个逻辑段可包含几个自然段。每一逻辑段落可冠以适当标题,分标题或小标题。

段落的划分,应视论文性质与内容而定。一般常见的实验类的科技论文划分方式有:

(1)实验原材料和材料/实验方法/实验结果和分析。

(2)理论分析/实验装置和方法/实验结果比较与分析。

根据论文内容的需要,还可以灵活地采用其他的段落划分方案,但就一般性情况而言,大体上应包含实验部分和理论分析部分的内容。“实验结果和分析”这一部分是论文的关键部分,论文的新意主要在这里体现。

由于学术论文的选题和内容性质差别较大,其分段及写法均不能做硬性的统一规定,但必须实事求是、客观贴切、准确完备、合乎逻辑、层次分明、简练可读。

一篇学术论文的正文,是其核心部分,占据主要篇幅。一般来说,正文总是可以包括以下部分或内容:调查与研究对象、实验和观测方法、仪器设备、材料原料、实验和观测结果、计算方法和编程原理、数据资料、经过加工整理的图表、形成的论点和导出的结论等。当然,其中的结论可以单独设一部分(或一节)展开叙述。

7.结论

论文的结论部分,应反映论文中通过实验、观察研究并经过理论分析后得到的学术见解。结论应是该论文的最终的、总体的结论。换句话说,结论应是整篇论文的结局,而不是某一局部问题或某一分支问题的结论,也不是正文中各段的小结的简单重复。结论应当体现作者更深层的认识,且是从全篇论文的全部材料出发,经过推理、判断、归纳等逻辑分析过程而得到的新的学术总观念、总见解。

结论应该准确、完整、明确、精练。该部分的写作内容一般应包括以下几个方面:

(1)本文研究结果说明了什么问题;

(2)对前人有关的看法做了哪些修正、补充、发展、证实或否定;

(3)本文研究的不足之处或遗留未予解决的问题,以及解决这些问题的可能的关键点和方向。

例9-5

论文题目:奥运期间北京大气降水酸化趋势及湿沉降来源探讨

4.结论(Conclusions)

1)近10年来北京大气降水呈逐渐酸化趋势,2008年8月奥运会期间北京降水酸化更为明显,3个大气降水监测站pH值月平均都低于5.6,车公庄站与黄村站甚至低于5.0,北京近地面酸化缓冲能力的减弱是造成北京降水酸化的主要原因。

2)北京酸性降水中离子比例明显高于离子,是北京地区大气降水中最主要的酸根离子。

3)奥运大气环境控制措施明显抑制了近地面大气污染排放,各主要大气污染物浓度都明显降低,但大气降水离子浓度及湿沉降量并没有相应降低,甚至还有所增加;密云水库近地面大气污染排放远低于市区,但其湿沉降量反而高于市区。近地面大气污染排放可能并不是北京大气降水湿沉降的主要来源。

4)区域性的大气污染排放及由南向北的污染会聚为北京夏季大气降水提供了丰富的湿沉降来源,污染物长时间的停留为与湿气团的充分混合提供了条件,并随大气降水重返地面,成为北京区域大气降水湿沉降的重要来源。但是否为北京大气降水湿沉降的主要来源,需要进一步证实。

(选自:李令军等.奥运期间北京大气降水酸化趋势及湿沉降来源探[J].环境科学学报,2009,29(10):2023-2024.)

8.致谢

按照GB7713—1987的规定,致谢语句可以放在正文后,体现对下列方面致谢:国家科学基金;资助研究工作的奖学金基金;合同单位;资助和支持的企业、组织或个人;协助完成研究工作和提供便利条件的组织或个人;在研究工作中提出建议和提供帮助的人;给予转载和引用权的资料、图片、文献、研究思想和设想的所有者;其他应感谢的组织和人。(这部分内容一般可省略)

9.参考文献

在学术论文后一般应列出参考文献(表),一是,为了能反映出真实的科学依据;二是,为了体现严肃的科学态度,分清是自己的观点或成果还是别人的观点或成果;三是,为了对前人的科学成果表示尊重,同时也是为了指明引用资料出处,便于检索。

(三)参考文献的标注方法及规定

根据中华人民共和国国家标准文后参考文献著录规则 GB/T 7714—2015(摘录):

1.文献类型及标识代码(见表9-1)

表9-1 参考文献类型及标识代码

2.电子文献载体及标识代码(见表9-2)

磁带(magnetic tape)[MT]、磁盘(disk)[DK]、光盘(CD-ROM)[CD]、联机网络(online)[OL]。

表9-2 电子文献载体及标识代码

3.参考文献著录格式示例

[1]梁吉业,曲开社,徐宗本.信息系统的属性约间[J].系统工程理论与实践,2001(12):76-80.

[2]刘清.Rough集及Rough推理[M].北京:科学出版社,2001.

[3]国家环境保护局科技标准司.土壤环境质量标准:GB 15616-1995[S].北京:中国标准出版社,1996:2-3.

[4]沈铭贤.为何要“鉴”诺贝尔奖[N].文汇报,2002-12-16.

[5]雷光春.综合湿地管理:综合湿地管理国际研讨会论文集[C].北京:海洋出版社,2012.

[6]叶赛华.高等学校重学学科评估研究[D].上海:复旦大学,2002.

[7]中华人民共和国国务院新闻办公室.国防白皮书:中国武装力量的多样化运用[R/OL].(2013-04-16)[2014-06-11].http://www.mod.gov.cn/affair/2013-04/16/content_4442839.htm.

(社会科学类论文也可按此规格写参考文献)

在文中所引用的参考文献处分别用上标①或[1]标引,引用作者本人或未发表的著作,一般不必加注。

例9-6

长江上游调水对干流电站发电效益的影响(节选)

张远东 魏加华 周建军

(清华大学 水利水电工程系,水沙科学与水利水电工程国家重点实验室,北京100084)

摘 要:滇中调水和南水北调西线工程达到设计输水规模后,长江上游干流的年径流量将相应减少约204亿m3。为评价这两项调水工程对长江上游干流已建、在建和拟建电站发电效益的影响,建立了梯级多目标优化调度模型。采用浮点多目标遗传算法进行非线性优化模型求解。模型评价的结果表明,滇中调水和南水北调西线工程的实施,将对长江上游干流自拖顶至葛洲坝共计15座电站的年发电量和保证出力产生不同程度的影响。在多年平均径流条件下,两项调水工程均达到设计规模后,这15座电站的年发电总量将减少14%左右,其中三峡电站约减少4%。

关键词:调水工程;水力发电;三峡电站;长江流域上游

中图分类号:TV 68 文献标识码:A文章编号:1000-0054(2008)06-0955-04

Impact of water transfer on hydropower generation of power plants in the upper reaches of the Yangtze River

Zhang Yuandong,Wei Jiahua,Zhou Jianjun

(State Key Laboratory of Hydroscience and Engineering,Department of Hydraulic Engineering,Tsinghua University,Beijing 100084,China)

Abstract:When the Central Yunnan Province Water Transfer Project and the western route of the South-to-North Water Transfer Project reach to their respective planned flow rates,the annual runoff in the upper reaches of the Yangtze River will decrease by about 20.4 billion m3.An optimal cascade dispatchingmodelwas developed to quantitatively evaluate the impact of the two water transfer projects on hydropower generation of completed,under construction and proposed power plants.The float-encoding genetic algorithm was used to solve themulti-objective nonlinearmodel.The simulations show that the two water transfer projects will exert considerable influence on the power generation of fifteen power plants(from the Tuoding Power Plant to the Gezhouba Power Plant).If the two water transfer projects are fully online the total annual power generation of the fifteen power plants will decrease by 14%.The yearly power generation reduction of the Three Gorges Power Plant will be 4%.

Key words:water transfer project;hydropower generation;Three Gorges power p lant;upper Yangtze River

长江上游干支流河段是中国水能资源最为丰富的水电基地,在这段河道上,规划、在建和已建的大型水利水电工程达几十座,其中三峡枢纽为世界上迄今规模最大的水电工程。随着国民经济建设对能源需求的不断增长,相关研究工作的不断开展和深入,长江上游地区梯级电站的开发进程有望大大加快。

……(略)

本文通过建立梯级优化调度模型,对滇中调水和南水北调西线调水情况下长江上游干流已建、在建和规划梯级的发电效益损失进行了评价和分析,并侧重分析了上述两项调水工程对三峡电站发电效益的潜在影响。

1.调水工程概况

1.1 滇中调水工程

滇中调水工程是解决滇中地区缺水问题、保障云南省经济社会可持续发展的重要举措。该工程拟从金沙江规划中的上虎跳峡水库取水,主要解决滇中高原地区城镇生活和工业供水,同时兼顾农业和生态用水。根据“滇中调水工程规划报告”中的设计方案,滇中调水工程多年平均调水量34.2亿m3/a,其中7—9月不调水,其他月份平均调水,渠首设计流量为145m3/s。

1.2 南水北调西线工程

南水北调西线工程是从长江上游干支流调水入黄河上游的跨流域调水重大工程,是补充黄河水资源的不足,解决涉及青、甘、宁、内蒙古、陕、晋6省、自治区的黄河上中游地区和渭河关中平原干旱缺水的一项重大战略措施。……(略)

2.模型的建立

2.1 模型概化

本次研究涉及金沙江上游规划的拖顶电站、金沙江中下游的12座规划和在建电站、三峡电站和葛洲坝电站,共计15座电站。图1为金沙江中下游河段12座梯级水电站纵剖面图。

图1 金沙江中下游河段12座水电站纵剖面图

由于金沙江上中游规划的拖顶、两家人、梨园、阿梅、金安桥、龙开口、鲁地拉和观音岩电站以及长江葛洲坝电站的调节库容较小(小于6亿m3),径流调节能力相对较弱,本模型只对上虎跳峡、乌东德、白鹤滩、溪洛渡、向家坝和三峡6座调节库容较大的电站进行优化计算,其他电站均作为径流式电站处理。模型计算中未考虑雅砻江、大渡河、嘉陵江和乌江等支流水库调节所产生的径流变化;三峡电站没有考虑地下厂房的6台发电机组;金沙江上游拖顶电站由于资料限制,仅根据水头和流量估算其发电效益;上虎跳峡的正常蓄水位取2 010m方案。

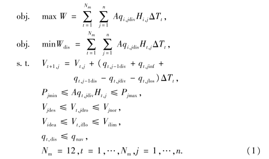
2.2 数学模型

主要考虑两个目标:1)各梯级电站年发电量之和最大;2)各电站的弃能之和最小。约束条件包括:水量平衡约束、出力约束、水位约束、通航流量约束及变量的非负约束。数学模型可用式(1)表示:

(1)式中:W为年发电总量;W dis为弃能总量;A为出力系数;H表示水头;ΔT为每个月的小时数;P min为保证出力;P max为装机容量;N m为每年的月数;n为电站个数;q inf表示来水流量;q dis表示弃水流量;q los表示蒸发、调水等损失流量;q div表示发电引水流量;q nav表示通航流量(三峡通航最小流量为5 860m3/s);V表示水库的库容;V dro表示枯水期库容;V nor表示正常蓄水位对应库容;V dea表示死库容;V flo表示汛期库容;V lim表示汛限库容;下标t与j分别表示月份和电站编号;上述所有变量均为非负变量。

上述模型属于多目标的非线性优化模型,采用浮点多目标遗传算法进行求解。

3.调水对发电的影响分析

滇中和西线工程调水不仅会影响到长江上游电站的年发电量,还将降低电站的保证出力(发电质量)。由于多梯级整体优化的方法追求的目标是各梯级的发电效益之和最大,其中每个电站的发电运用方式并不一定最优。考虑到长江上游干流电站分属不同的业主,采用逐梯级优化的方法进行评价计算。……(略)

3.1 调水对发电量的影响

在多年平均径流且无调水的情况下,长江上游干流拖顶至葛洲坝15座电站的年总发电量约为416TW·h,其中三峡电站的年发电量为91.3TW·h;滇中调水的情况下,15座电站的年总发电量约减少11.4TW·h,其中三峡电站减少约0.3TW·h;西线工程调水的情况下,15座电站的年总发电量约减少41.2TW·h,其中三峡电站减少约2.9TW·h;在滇中和西线工程同时调水的情况下,15座电站的年总发电量约减少57.5TW·h,其中三峡电站减少约3.8TW·h。图2为滇中、西线以及滇中与西线工程同时调水对各电站年发电量的影响。

……(略)

3.2 调水对最小出力的影响

在多年平均径流且无调水的情况下,上虎跳峡至葛洲坝14座电站(未计拖顶电站)的最小出力之和约32.1GW,其中三峡电站的月均最小出力为5.4GW;滇中调水的情况下,14座电站的最小出力之和约减少1.4GW,其中三峡电站减少约100MW;西线工程调水的情况下,14座电站的最小出力之和约减少3.9GW,其中三峡电站减少约150MW;在滇中和西线工程同时调水的情况下,14座电站的最小出力约减少6.1GW,其中三峡电站减少约230MW。图3所示分别为滇中、西线以及滇中与西线工程同时调水对各电站最小出力的影响。

……(略)

4.结语

滇中调水工程和南水北调西线工程是解决我国滇中和西北地区干旱缺水问题的重大战略举措,对促进受水区经济社会的可持续发展具有重大的意义;但同时,这两项调水工程的实施将相应地减少长江流域上游的可用水资源量,并不可避免地对长江上游水电基地已建、在建和拟建电站的发电效益产生一定的影响。根据本文的研究结果,在多年平均径流条件下,当这两项调水工程达到设计调水规模后,长江上游托顶至葛洲坝15座电站的年发电总量将减少14%左右,各电站保证出力也有不同程度的降低。

此外,随着长江上游多座大型水电工程的滚动开发和上述两项调水工程的建设,长江流域的水沙条件将发生较大的改变。

因此,笔者建议应当从国家水资源需求、水能开发的高度出发,统筹规划上游调水和拟建工程,开展长江流域供水、防洪、发电、航运、生态和输沙等方面的综合研究,以提高该流域开发的综合效益。

参考文献(References)

[1]李景宗.西线南水北调对长江上游水利水电开发影响初析[J].人民黄河,1989,9(6):3-6.

Li Jingzong.Preliminary analysis of effects of transferring water from Changjiang(Yangtze)River to Yellow River through theWest Route on exploitation ofwater and hydroelectric resources in the upper Changjiang V alley[J].Yellow River,1989,9(6):3-6.(in Chinese)

[2]张新海,张玫,韩侠,等.南水北调西线工程对长江的影响初步分析[J].人民黄河,2002,22(2):20-22.

Zhang Xinhai,Zhang Mei,Han Xia,et al.Preliminary analysis of the impact on the Yangtze River caused by the west route of the South-to-North Water Diversion Project[J].Yellow River,2002,22(2):20-22.

……(略)

(选自:张远东,等.长江上游调水对干流电站发电效益的影响[J].清华大学学报,2008,48(6):955-958.)

科技类文体写作包括概述、毕业设计(论文)写作、学术论文写作内容。本章要了解科技文的分类;掌握毕业设计(论文)写作过程和写作基本格式与要求;掌握学术论文写作的基本格式与要求;特别要掌握采用标准著录规则的方法摘录文献资料。

1.简述毕业设计与学术论文的基本格式。

2.举例说明对参考文献标注的规定。

3.结合所学专业阅读若干篇优秀毕业设计书并撰写阅读笔记。

4.结合所学专业阅读若干篇学术论文并撰写阅读笔记。