7.2 Establishment of model
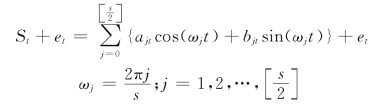
The DHR model is mainly used to fit the three components of the time series,T t,St,et.The analysis of the seasonal or periodic variation of the time series approximates the Fourier transform:

In the formula,s is the sequence length.In order to achieve a dynamic prediction function,the DHR selects the sum of coefficients ajt,bjt from a dynamic model representation that can vary over time.
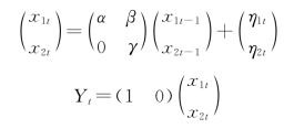
7.2.1 State-Space(SS)Model
SS model is generally expressed by two functions:state value equation and observed value equation,which expresses the relationships of the observed value and state value at each time.
State-equation:
(https://www.daowen.com)
Observation-equation:
![]()
In the formula,x t is the state vector at time t,η is the disturbance component of the system,y t is the random observation,et is a measurement error assuming a Gaussian distribution.And F,G,H was regarded as a known nonstochastic system matrix.
7.2.2 General Random Walker(GRW)Model
The general form of GRW model is:

In the formula,each variable is represented as a vector form of the temporal state value x 1t and its error x 2t.
corresponds to the F matrix,
and(1 0)respectively corresponds to the G,H matrix.Y t is the observation at time t and it can be regarded as the corresponding components of time series.Matrix H has been set,then by respectively taking the value ofα、β、λ、η,F,G matrix can be determined,which means that can represent different changes.DHR model selects the GRW dynamic model for each component fitting of time series,and each component can be subjectively selected according to the characteristics of each GRW model.