7.2.2 线性相关分析的原理
2026年01月14日
7.2.2 线性相关分析的原理
由于我们是通过抽样的方法来研究变量之间的关系的,所以当我们求出各类样本相关系数不为0时,这并不能真正表明随机变量之间是相关的,还需通过显著性检验来判别随机变量之间的相关系数是否显著异于0。下面先来看Pearson相关系数显著异于0的t检验。
在二维总体(X,Y)服从正态分布的前提下,R.A.费希尔(R.A.Fisher)给出了检验Pearson线性相关系数是否显著异于0的t统计量。
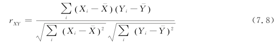
①求线性相关系数rXY(Pearson线性相关系数):

其中,![]()
②计算t统计量之值:
(https://www.daowen.com)
其中,n是样本容量。
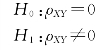
③做假设检验,设总体X 和Y 的总体相关系数为ρXY。

这是一个双尾检验的问题。思路还是使犯弃真错误的概率足够小。假设H0为真的情况下,如果由样本计算出来的rXY偏离0很多,则我们应该倾向于选择ρXY≠0,放弃H0,并让放弃H0这个事件的概率很小,为α。对应的是,t统计量的值大于临界值tα/2(n-2)时,我们放弃原假设H0,并使得犯弃真错误的概率很小,为α。
![]()
④从临界值的角度考虑,若
则表明由样本计算出来的rXY较大,由式(7.9)可见
较小,对应的t较大,所以,以α的概率(或在α水平上)拒绝H0,即总体X和Y 的总体相关系数ρXY与0的差异足够大。反之,接受H0,即两个总体间的相关系数ρXY与0没有显著差异。
⑤从p 值法的角度考虑,在SPSS中,相关性的判别和前文假设检验的方法类似,也可以通过比较统计值t的外侧概率p(显著性概率)的2 倍与α 的大小,来判别接受还是拒绝H0。