5.3.2 单尾单样本t检验的理论解释
设总体X~N(μ,σ2)。关于总体参数μ、σ2的假设检验问题,本节介绍本章开篇提到的情况二的单尾检验情况。由题意可知,例5.5就属于这种情况:未知方差σ2,检验原假设H0:μ≤μ0,备择假设H1:μ>μ0。
解:设H0:μ≤160,H1:μ>160。由于对μ进行假设检验且σ2未知,所以选取样本X1,X2,…,Xn的统计量

在H0下,由于只知道总体的均值μ≤160,不知道μ的具体值,不妨先考虑μ=160的情形,将其带入样本值计算出统计量的值为

并且可知

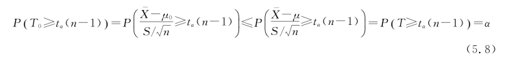
那么,在什么情况下否定H0也就是弃真?当由样本信息算出的
较160大很多时(此时T0取值较大,T 取值更大),我们通常认为总体均值μ>160,即备择假设H1发生,否定H0。
方法一:临界值法。
设检验水平α=0.05,需查出t分布的临界值tα(n-1),使得

判断t=1.48是不是落在拒绝域内。具体做法如下。(https://www.daowen.com)
①打开SPSS,单击【转换】→【计算变量】→【逆DF】,如图5.7所示,在对话框中录入图5.7中的数据,单击【确定】按钮,这样可以求出自由度为35的t分布的1-α=0.95的累积概率对应的临界值为1.6896。或者查概率统计类教材后的附表,找到t分布表,对应自由度为35,确定1-α=0.95的累积概率对应的临界值t0.05(35)为1.6896。

图5.7 计算t分布的临界值
②因为1.48<1.6896,所以,由样本值计算出统计量的值没有落在拒绝域内,因此接受H0,即该校初中男生的平均身高小于或等于160cm。
方法二:p 值法。
由t=1.48,借助于SPSS查出t值外侧的概率,这个值就是p 值,然后比较p 值和检验水平α=0.05的大小。具体做法如下。
①可以打开SPSS,单击【转换】→【计算变量】→【CDF 与非中心CDF】→【Cdf.T】,如图5.8所示,在“计算变量”对话框中录入图5.8中的数据,单击【确定】按钮,也可以查概率统计类教材后附带的t分布表,求出自由度为35的1.48的值对应的累积概率。

图5.8 计算统计值的p值
②查出p 值为0.0739。
③因为0.0739>0.05,所以由样本值计算出的统计量值右侧概率大于检验水平,这就意味着样本统计量的值没有落在拒绝域内,因此接受H0,即该校初中男生的平均身高小于或等于160cm。