7.3.2 偏相关分析的算法步骤
2026年01月14日
7.3.2 偏相关分析的算法步骤
上文我们了解了SPSS的操作步骤,从表7.4可以进一步分析算法的步骤了。
①求剔除(控制)了变量Z 的影响之后,变量X、Y 的偏相关系数:

其中,r··表示Pearson积矩相关系数,r··,·表示偏相关系数,下标中逗号“,”之后的变量是被控制的变量,逗号“,”前面的变量是被计算偏相关的两个变量。
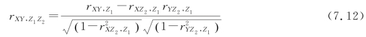
或者求剔除(控制)了变量Z1、Z2的影响之后,变量X、Y 的偏相关系数:

其中,r··,·是偏相关系数,下标中逗号“,”之后的变量是被控制的变量,逗号“,”前面的变量是被计算偏相关的两个变量。
②计算检验偏相关系数是否显著异于0的t统计量:(https://www.daowen.com)

其中,n 是样本容量,k 是被剔除(控制)了的变量个数,rXY,Z根据实际情况也可以换为![]()
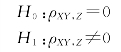
③做假设检验,设总体X 和Y 的总体偏相关系数为ρXY,Z。

这是一个双尾检验的问题。思路还是使犯弃真错误的概率足够小。假设H0为真的情况下,如果由样本计算出来的
偏离0很多,则我们应该倾向于选择ρXY,Z≠0,放弃H0,并让放弃H0这个事件的概率很小,为α。对应的是,t统计量的值大于临界值tα/2(n-k-2)时,我们放弃原假设H0,并使得犯弃真错误的概率很小,为α。
![]()
④从临界值的角度考虑,若
则表明由样本计算出来的rXY,Z
较大,
较小,对应的t较大,所以,以α 的概率(或在α 水平上)拒绝H0,即总体X 和Y 的总体偏相关系数ρXY,Z与0的差异足够大。反之,接受H0,即两个总体间的偏相关系数ρXY,Z与0没有显著差异。
⑤从p 值法的角度考虑,在SPSS中,相关性的判别与前文假设检验的方法类似,也可以通过比较统计值t的外侧概率p(显著性概率)与α的大小,来判别接受还是拒绝H0。