6.3.2 有重复双因素方差分析算法的步骤
刚才我们看到了SPSS的操作步骤,从结果表6.11中就可以看到算法的步骤了。
在有交互作用的双因素方差分析中,由于有两个因素,在分析时将一个因素安排在“行”的位置,称为行因素A;将另一个因素安排在“列”的位置,称为列因素B。设因素A 有s 个水平A1,A2,…,As,因素B 有k 个水平B1,B2,…,Bk。为了检验因素A 和B 是否存在交互作用,方差分析不仅要检验因素A 和B 各自对因变量影响的显著性,而且还要检验其结合对因变量影响的显著性,这就要求对每一种水平组合都做多次试验。现对因素A、B 的水平的每对组合(Ai,Bj),i=1,2,…,s,j=1,2,…,k 都做t(t>1)次试验,其结构如图6.13所示。

图6.13 有重复双因素方差分析的结构图
1.假设
零假设:
H0A:μi·=μ,即ai=0,i=1,2,…,s。
H0B:μ·j=μ,即bj=0,j=1,2,…,k。
H0C:cij=μij-ai-bj-μ=0,i=1,2,…,s,j=1,2,…,k。
备择假设:
H1A:μ1·,μ2·,…,μs·之间不完全相等(至少有两个不等),或ai不全等于0。
H1B:μ·1,μ·2,…,μ·k之间不完全相等(至少有两个不等),或bj不全等于0。
H1C:cij=μij-ai-bj-μ不全等于0,i=1,2,…,s,j=1,2,…,k。或者说,交互作用是存在的。
2.计算
①算行间变差:
(https://www.daowen.com)
②算列间变差:

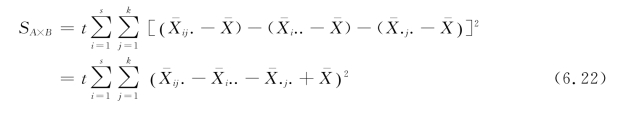
③算交叉变差:

④算总变差:

⑤算总误差平方和:

其中,
为重复试验的次数。
⑥计算3个方差之比:

3.做假设检验
对给定的α查表,查出fα((s-1),sk(t-1)),若FA的 样 本 观 察 值fA>fα((s-1),sk(t-1)),或fA的显著性概率p<α,则表明SA较大,即
的绝对值较大,对应的总体参数μi·-μ的绝对值较大,所以,在α的水平上,拒绝H0A,即至少A 因素中有两个水平之间的平均效果(均值)差异足够大。反之,接受H0A,即A 因素的不同水平之间的平均效果(均值)没有显著性差异。
同样,对给定的α 查表,查出fα((k-1),sk(t-1)),若FB的样本观察值fB>fα((k-1),sk(t-1)),或fB的显著性概率p<α,则表明SB较大,即
的绝对值较大,对应的总体参数μ·j-μ的绝对值较大,则以α的概率,拒绝H0B,即至少B 因素中有两个水平之间的平均效果(均值),差异足够大。反之,接受H0B,即B 因素的不同水平之间的平均效果(均值)没有显著性差异。
对给定的α查表,查出fα((s-1)(k-1),sk(t-1)),若FA×B的样本观察值fA×B>fα((s-1)(k-1),sk(t-1)),或fA×B的显著性概率p<α,则表明SA×B较大,即
的绝对值较大,对应的总体参数μij-μi·-μ·j+μ的绝对值较大,即cij的绝对值较大,则以α的概率,拒绝H0C,即A因素与B因素中的交互效果中,至少有一个明显异于0。反之,接受H0C,即A因素与B因素中的交互效果没有显著性差异。