5.3.3 期望未知对正态总体方差的假设检验
2026年01月14日
5.3.3 期望未知对正态总体方差的假设检验
本节介绍本章开篇提到的情况三。
例5.6 某炼铁厂的铁水含碳量X 在正常情况下服从正态分布。现对操作工艺进行了某些改进,从中抽取5炉铁水,测得其含碳量数据如下:4.412、4.052、4.357、4.287、4.683,据此是否可以认为新工艺炼出的铁水含碳量的方差仍为0.1082(α=0.05)。
解:建立待检假设H0:σ2=0.1082;H1:σ2≠0.1082。在H0成立时,样本来自总体N(μ,0.1082)。这时
![]()
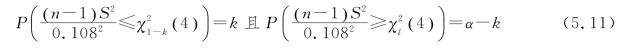
对于给定检验水平α=0.05,可用SPSS计算确定临界值
如图5.9所示,使得
![]()
也可以选取参数k,使得


图5.9 例5.6的临界值法图示
将样本信息4.412、4.052、4.357、4.287、4.683代入式(3.10)(或在SPSS中通过单击【分析】→【描述统计】→【频率】计算)可以算出(https://www.daowen.com)

方法一:临界值法。
由SPSS查表求出
因为
![]()
因此应拒绝H0,接收H1,即新工艺炼出的铁水含碳量的方差不能认为是0.1082。
方法二:p 值法。
由χ2=17.833,用SPSS(如图5.10所示)求出其右侧概率的2倍,并将其和检验水平α=0.05作比较。

图5.10 计算统计值的p值
p 值为0.00266<α=0.05,因此拒绝原假设H0,接收H1,即新工艺炼出的铁水含碳量的方差不能认为是0.1082。
课堂练习 分析例5.6中单尾检验的情况,即检验H0:σ2≤0.1082,H1:σ2>0.1082,α=0.05。