4.2.2 点估计与判断点估计的优劣标准
1.点估计的概念
设待估计的参数为θ,如总体分布中的均值、方差等,现在从总体中得到一个随机样本X1,X2,…,Xn,如何根据样本信息估计θ?
记估计θ的统计量为
,它是关于样本X1,X2,…,Xn的函数,简记为
我们称
为θ的估计量。
若得到一组样本观察值x1,x2,…,xn,就可以得出θ的估计值![]()
总体分布参数θ的点估计就是求出θ 的估计值![]()
2.统计量的优劣标准
由样本观察值出发,利用点估计的方法可以获得若干个θ的估计值,那么哪个估计值更好一些?这就需要用一些恰当的标准来判别。
(1)无偏估计
根据样本推得的估计值与真值可能不同,然而,如果由一系列抽样构成各个估计,很合理地会要求这些估计的期望值与未知参数的真值相等,它的直观意义是样本估计值在未知参数的真值周围摆动,而无系统误差。
定义4.1 如果
成立,则称估计值
为参数θ 的无偏估计。
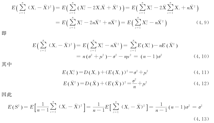
例4.2 从总体X 中抽取样本X1,X2,…,Xn,E(X)=μ,D(X)=σ2。试证明
及S2分别是μ及δ2的无偏估计量。
证明:由数学期望和方差的性质,可以证得
是μ的无偏估计量。而

所以,S2为σ2的无偏估计。
(2)有效估计
定义4.2 设
都是θ的无偏估计,若它们的样本容量均为n,而
的方差小于
的方差,则称
有效的估计量。
(3)一致估计
在一般情况下,统计量
但希望当n→∞时,
这就是说,希望当样本容量n无限增大时,估计值
在真值附近的概率趋近于1。
定义4.3 如果当n→∞时,
依概率收敛于θ,即对任意给定的
则称统计量
为参数θ的一致估计。
3.获得点估计量的极大似然估计法(https://www.daowen.com)
根据从总体X 中抽到的样本X1,X2,…,Xn,对总体分布中的未知参数θ进行估计。极大似然估计法是要选取这样的值,当它作为θ的估计值时,使观察结果出现的可能性最大。在一般情况下,可以利用极大似然估计法估计离散型总体的概率函数中的参数θ,和连续型总体的概率密度函数中的参数θ。
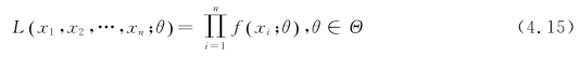
定义4.4 设X 为离散型随机变量,有概率函数
为待估参数,则似然函数

对每一取定的常数样本值x1,x2,…,xn,L 是参数θ 的函数,则称L 为样本的似然函数(如果θ是一个向量,则L 是多元函数)。
定义4.5 设X 的概率密度是f(x,θ),其中θ是未知参数,可以是一个值,也可以是一个向量,由于样本的独立性,则样本x1,x2,…,xn的联合概率密度函数是

定义4.6 如果L(x1,x2,…,xn;θ)在
处达到最大值,则
是θ 的极大似然估计值。
由R.A.费希尔(R.A.Fisher)引进的极大似然法的原理是:对于出现的样本观察值x1,x2,…,xn,在θ取值的可能范围Θ 内挑选使似然函数L(x1,x2,…,xn;θ)达到最大的参数值
,将其作为参数θ的估计值。极大似然估计值
与样本有关,是样本的函数。由于ln L(x1,x2,…,xn;θ)与L(x1,x2,…,xn;θ)同时达到最大值,所以为了计算方便,只求ln L(x1,x2,…,xn;θ)的最大值。即计算
解出θ的估计值
。
如果待估计的参数θ 是一个向量,即θ=(θ1,θ2,…,θm),则解如下的方程组,求出![]()

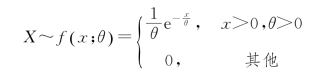
例4.3 某电子管的使用寿命(从开始使用到初次失效为止)服从指数分布,其概率密度函数如下:

x1,x2,…,xn为X的一组样本观察值,今抽取一组样本,其具体数据(单位为h)如下:16、29、50、68、100、130、140、270、280、340、410、450、520、620、190、210、800、1100。问如何求θ的极大似然估计值?
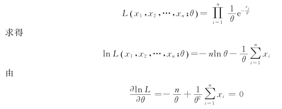
解:似然函数

解得

就是θ的极大似然估计。因此参数θ的估计值为
