水资源税改革整体效果评价指标与方法

二、水资源税改革整体效果评价指标与方法

(一)选择指标并构建指标体系

本次水资源税改革效果评价,旨在“费改税”实施效果评价的基础上,总结“河北模式”并在全国范围推广,对全国各个省(自治区、直辖市)的示范效应进行分析评价。在进行评价之前,首先需要建立一套评价指标体系。为了使评价指标体系科学化、规范化,在构建指标体系时需要遵循以下原则:

(1)系统性原则。各指标之间要有一定的逻辑关系,它们不但要从不同的侧面反映出水资源税改革示范效应总体的主要特征和状态,而且还要反映水资源税改革示范效应各准则层之间的内在联系。每一个准则层由其对应的一组指标构成,各指标之间相互独立,又彼此联系,共同构成一个有机统一体。

(2)典型性原则。务必确保评价指标具有一定的典型代表性,尽可能准确反映出河北省水资源税改革示范效应不同方面的综合特征,即使在减少指标数量的情况下,也要便于数据计算和提高结果的可靠性。另外,评价指标体系的设置、权重在各指标间的分配及评价标准的划分都应该与水资源税改革的实际情况相适应。

(3)简明科学性原则。各指标体系的设计及评价指标的选择必须以科学性为原则,能客观真实地反映示范效应的特点和状况,能全面反映出各指标之间的真实关系。各评价指标应该具有典型代表性,不能过多过细,使指标过于繁琐,相互重叠;指标又不能过少过简,避免指标信息遗漏,出现错误、不真实现象,并且数据易获取且计算方法简明易懂。

(4)可比、可操作、可量化原则。指标选择上,特别注意在总体范围内的一致性,指标选取的计算量度和计算方法必须保持统一,各指标尽量简单明了、微观性强、便于收集,各指标应该具有很强的现实可操作性和可比性。而且选择指标时也要考虑能否进行定量处理,以便于进行数学计算和分析。

(5)整体性与层次性相结合原则。评价指标体系是一个不可分割的整体,用整个评价指标体系来反映河北省水资源税改革示范效应,若想使评价指标体系清楚明了,指标体系的构建就需要具有层次性,自上而下,从宏观到微观层层深入,形成一个不可分割的评价体系。本书以水资源税改革综合效果作为目标层,以监控能力、管理水平、公众认知、纳税成效准则层构成,每个指标层由各自准则层内的指标构成,从而建立起一个3层次的评价指标体系。

本书统一采用目标层、准则层和指标层三个层次来构建指标体系,遵守各原则,在目标层水资源税改革综合效果确定之后,将监控能力、管理水平、公众认知以及纳税成效作为4个准则层,从各个角度反映水资源税改革效果,以达到评价目标;然后分别根据各自的准则层筛选代表性指标,并构建相应的评价指标体系。具体指标体系见表5.2。建立该评价指标体系的目的是:①可定量评价水资源税改革的综合效果;②有助于分析研究水资源税改革典型特色,并据此提出在全国能够顺利推广的经验与模式。

为了能够全面反映水资源税改革的综合效果,将定性评价与定量评价相结合,经过召开的项目会议与专家深入讨论后,从监控能力、管理水平、公众认知以及纳税成效四个方面筛选了16个指标,同时针对各指标的数据来源也作了详细说明。定性指标的数据来源以设计的调查问卷为主,通过实地调研获取;而定量指标多以收集的统计数据为主。水资源税改革就是将原来的收水资源费改为征收水资源税。征收水资源税的关键是水量核定,应准确统计纳税人信息以及使用水量情况,因此监控能力的高低是体现水资源税改革实施情况的关键,也是水资源税改革的基础。我国的水资源管理水平并不高,而水资源税改革正是提高管理水平的体现,从水资源税改革政策的执行程度以及各部门的协作程度等都说明了水资源税征收过程的不断规范化。水资源税改革作为一项国家重大政策,自2016年实施以来,已有三年的时间,从纳税人的角度考虑也是水资源税改革实施效果评价的一个重要方面,分析公众对水资源税改革政策的知晓程度以及纳税人缴纳水资源税是否更加便利都对水资源税改革以后的发展有一定的借鉴意义。对水资源税改革实施效果进行评价,重点是纳税成效,从节水以及抑制地下水超采等方面分析是否具有很好的效果,是否达到了预期目标。

表5.2 水资源税改革综合效果评价指标体系

(二)指标说明

1.监控能力指标

(1)农业纳税人信息录入率(A1)。农业纳税人信息录入率反映在水资源税改革后对于农业取用水户信息确定及录入情况。A1指标单位为%,来源于统计数据。

(2)非农在线监控计量设施项目完成率(A2)。非农在线监控计量设施项目完成率反映水资源税改革后对非农取用水户计量设施招标与建筑实施率和监管水平,在线监控计量设施的安装也是水资源税改革的一个重要任务。A2指标单位为%,来源于统计数据。

2.管理水平指标

(1)水资源税改革政策的执行度(A3)。水资源税改革政策的执行度反映在水资源税征收即水量核准、纳税申报、税务征收、联合监管、信息共享五个环节中的执行程度。指标无量纲,数据来源于调查问卷。

(2)税率及农业用水限额设置的合理性(A4)。税率及农业用水限额设置的合理性反映纳税人尤其是农业纳税人对目前限额标准制定的接受程度。指标无量纲,数据来源于调查问卷。

(3)各部门信息共享程度(A5)。水资源税改革不仅仅是水利部门的事情,还涉及税务、财政、电力等部门,使用该指标来衡量各部门间关于水资源税改革相关信息共享的程度。指标无量纲,数据来源于调查问卷。

(4)农业水资源税水量核定率(A6)。农业水资源税水量核定率是反映水资源税改革监管能力的重要指标,需要对申报纳税的水量进行逐一核定,确保水资源税征收的质量,该指标可以反映出水资源税的刚性要求以及监管情况。指标无量纲,数据来源于调查问卷。

(5)非农取水许可证发放率(A7)。非农取水许可证发放率反映水资源税改革后对于本应办理取水许可证却没有办理的取水户要求的强制性,便于今后水资源管理,统计纳税人取用水信息。指标无量纲,来源于统计数据。

3.公众认知指标

(1)水费/税改政策知晓接受度(A8)。水费/税改政策知晓接受度是衡量公众认知水平的一个重要指标,主要采取打分的形式,针对企业以及农业等纳税人,主要考察对改革政策的知晓程度和政策接受度。指标无量纲,数据来源于调查问卷。

(2)缴纳水资源税的便利程度(A9)。缴纳水资源税的便利程度在一定程度上可以反映出纳税人对于水资源税缴纳过程的满意程度,主要采取打分的形式。指标无量纲,数据来源于调查问卷。

4.纳税成效指标

(1)水资源税变化率(A10)。水资源税变化率是反映水资源税改革后所缴纳水资源税的重要指标,可以体现出税收刚性效果以及纳税成效,该指标公式为:(2018年申报税款-2017年申报税款)/2017年申报税款,指标单位为%,来源于统计数据。

(2)地下水开采占比(A11)。水资源税改革的一个重要目的是促进节约用水,压采地下水,该指标使用2018年地下水用水量与总用水量的比值来衡量,指标单位为%,来源于统计数据。

(3)地下水供水量变化率(A12)。为了更好衡量水资源税改革后河北省主要城市地下水的使用情况,使用主要城市供水中地下水供水量变化率,该指标公式为:(2018年河北省重要城市地下水供水量-2017年河北省重要城市地下水供水量)/2017年河北省重要城市地下水供水量,指标单位为%,来源于统计数据。

(4)污水处理回用量变化率(A13)。污水处理回用是指将污水或废水经深度处理后重新进入生产系统和生活系统的过程,既可以达到节约用水的目的,又可以减少污水或废水的排放量,减轻水环境的污染,指标单位为%,该指标公式为:(2018年污水处理回用量-2017年污水处理回用量)/2017年污水处理回用量×100%,来源于统计数据。

(5)对用水户税收负担影响程度(A14)。获取不同行业对水资源费及水资源税两阶段的经济负担变化情况,评价水资源税改革对用水户的影响程度,指标无量纲,来源于调查问卷。

(6)纳税人对水资源税改革满意度(A15)。通过问卷调查的方法获取工商业、公共供水企业、特种行业等对水资源税改革的满意程度来评价改革成效,指标无量纲,来源于调查问卷。

(7)专家对水资源税改革满意度(A16)。对高校及科研部门采取问卷调查形式,咨询各领域专家对水资源税改革的相关意见,并对其满意程度进行打分,指标无量纲,来源于调查问卷。

(三)确定评价标准

若要评价水资源税改革实施效果,在建立指标体系的基础上,还需要建立配套的评价标准。建立相应的配套标准可以清晰地界定各评价指标的评价效果,从而有针对性地加以改进。对评价较低的指标,提出针对性的政策和措施,从而提高整体的水资源税改革发展水平;除此之外,建立一套评价标准,可以评价水资源税改革前后水资源的用水结构、节水意识以及监控水平,这就需要一个“可公度”的量化标准,动态分析改革效果。

参考大量统计资料和前人研究成果,将各个指标用5个节点划分为4个等级,确定评价标准[43]。总体思路为:用[0,1]范围内的值表示改革效果水平,0为最差值,1为最优值。0、0.3、0.6、0.8、1为5个节点,分别对应于最差值、较差值、及格值、较优值和最优值,此时评价指标体系中各指标的特征值就转化为改革效果评价的标准。这样更为直观,容易理解并且便于量化。基于此并结合实际情况确定各指标的特征值。

1.监控能力指标

(1)农业纳税人信息录入率(A1)。该指标为正向指标,随着该指标值的增长,越来越多的农业纳税人信息纳入系统,水资源税管理水平显著提高。

主要考虑人们对该指标的期望以及对现状的认可程度来确定该指标的特征值。水资源税试点改革后,加大联合开展取水户核查和打击非法取水专项行动,加大征管力度。结合目前农业纳税人信息录入情况将录入率0定义为最差值,值为0;将录入率为30%定义为较差值,值为0.3;将录入率为60%定义为及格值,值为0.6;将录入率为80%定义为较优值,值为0.8;将录入率为100%定义为最优值,值为1。

(2)非农在线计量监控项目完成率(A2)。该指标为正向指标,即该指标值越大,说明在线计量监控设施建设比例越高,监控能力提升越大。

主要考虑人们对该指标的期望以及对现状的认可程度来确定该指标的特征值。结合项目完成现状,将完成率100%定义为最优值1;完成率<0%定义为最差值0,再内插确定其他特征值。

2.管理水平指标

(1)水资源税改革政策的执行度(A3)。该指标为正向指标,表征水资源税政策的执行力度,该数据主要来源于调查问卷。

政策执行程度100分为最优值,80分为较优值,60分为及格值,30分为较差值,0分为最差值,基于此根据具体的打分情况确定特征值。

(2)税率及农业用水限额设置的合理性(A4)。该指标为正向指标,表征水资源税用水限额及税率设置的合理性、用水户的承受能力,该数据来源于调查问卷。

合理性程度100分为最优值,80分为较优值,60分为及格值,30分为较差值,0分为最差值,基于此根据具体的打分情况确定特征值。

(3)各部门信息共享程度(A5)。该指标为正向指标,指标值越大表明信息共享程度越大,越有利于今后水资源管理和水资源税改革的顺利推行。

共享程度100分为最优值,80分为较优值,60分为及格值,30分为较差值,0分为最差值,基于此根据具体的打分情况确定特征值。

(4)农业水资源税水量核定率(A6)。该指标为正向指标,反映税改工作中对农业水资源税纳税人水量核定工作的进展情况,该指标越大表明水量核定工作进展较快,监管能力越强,便于后期的管理。

主要考虑人们对该指标的期望以及对现状的认可程度来确定该指标的特征值。结合实际状况,当核定率<10%时定义为最差值0,核定率为30%时定义为较差值0.3,核定率为60%时定义为及格值0.6,核定率为80%时定义为较优值核定率为100%时定义为最优值。

(5)非农取水许可证发放率(A7)。该指标为正向指标,该指标值越大,表明取水许可证的发放率越高,越有利于后期的统计和管理。

主要考虑人们对该指标的期望以及对现状的认可程度来确定该指标的特征值。结合实际状况,当发放率<30%时定义为最差值0,发放率为30%定义为较差值0.3,发放率为60%时定义为较差值0.6,发放率为80%时定义为较优值,发放率为100%时定义为最优值。

3.公众认知指标

(1)水费/税改政策知晓接受度(A8)。该指标为正向指标,表征用水户对水资源税改革的了解程度,也在一定程度上反映出政策的宣传水平,该数据来源于调查问卷。

知晓接受度100分为最优值,80分为较优值,60分为及格值,30分为较差值,0分为最差值,基于此根据具体的打分情况确定特征值。

(2)缴纳水资源税的便利程度(A9)。该指标为正向指标,表征用水户缴纳水资源税时的便利程度,该指标越大表明用水户对于水资源税征收越便利,该数据来源于调查问卷。

便利程度100分为最优值,80分为较优值,60分为及格值,30分为较差值,0分为最差值,基于此根据具体的打分情况确定特征值。

4.纳税成效指标

(1)水资源税变化率(A10)。该指标为正向指标,该指标值越大,表明与之前相比所缴纳的水资源税增长越显著。

主要考虑人们对该指标的期望以及对现状的认可程度来确定该指标的特征值。当该指标为负值时表明水资源税不增反降,此时为最差值0;结合实际状况当变化率为5%时,设为较差值0.3;当变化率为10%时,设为及格值0.6;当变化率为20%时,为较优值0.8;当变化率大于20%时为最优值1。

(2)地下水开采占比(A11)。该指标为逆向指标,该指标越小,表明地下水使用少,水资源结构良好。

主要考虑人们对该指标的期望以及对现状的认可程度来确定该指标的特征值。结合《中国水资源公报》地下水开采占比最严重的地区约为80%,因此将地下水开采占比为80%设为最差值0;开采占比为60%设为较差值0.3;开采占比为30%设为及格值0.6;开采占比10%设为较优值0.8;开采占比小于10%则为最优值1。

(3)地下水供水量变化率(A12)。该指标为逆向指标,当该指标为正值时,表明水资源税改革后地下水作为水源的供水量增加,因此该指标越小,表明地下水使用量增长越小,水资源结构得到优化。

主要考虑人们对该指标的期望以及对现状的认可程度来确定该指标的特征值。将变化率≥0设为最差值0;变化率为-20%设为较差值0.3;变化率为-30%设为及格值0.6;变化率为-50%设为较优值0.8;变化率<-50%则为最优值1。

(4)污水处理回用变化率(A13)。该指标为正向指标,该指标越大说明污水处理后重新使用水量越大,越有利于节约水资源。

主要考虑人们对该指标的期望以及对现状的认可程度来确定该指标的特征值。该指标可正可负,当该指标为负值时,表明污水处理回用量偏低,节水设施下降,不利于节约用水,因此设为最差值0;当该指标为10%时设为较差值0.3;当该指标为20%时设为及格值0.6;当该指标为40%时设为较优值0.8;当该指标>40%时设为最优值1。该指标可能存在之前没有使用污水处理回用水,而在水资源税改革后使用的情况,对于这种情形,设变化率100%为最优值。

(5)对用水户税收负担影响程度(A14)。该指标为逆向指标,表征用水户对应缴纳的水资源税的接受程度,水资源税改革的一个重要原则就是合理负担,总体上不增加企业税费负担。该指标越大,表示征收的水资源税对用水户造成的经济负担越重,越不符合改革的要求,不利于改革的推进。该数据来源于调查问卷。

对用水户税收负担影响程度0分为最优值,30分为较优值,60分为及格值,80分为较差值,100分为最差值,基于此根据具体的打分情况确定特征值。

(6)纳税人对水资源税改革满意度(A15)。该指标为正向指标,是评价改革成效的重要指标,该数据来源于调查问卷。

纳税人对水资源税改革满意度100分为最优值,80分为较优值,60分为及格值,30分为较差值,0分为最差值,基于此根据具体的打分情况确定特征值。

(7)专家对水资源税改革满意度(A16)。该指标为正向指标,通过专家咨询的形式评价水资源税改革的满意程度。

专家对水资源税改革满意度100分为最优值,80分为较优值,60分为及格值,30分为较差值,0分为最差值,基于此根据具体的打分情况确定特征值。

为量化各指标值,基于各指标的评分准则并结合现状,将每个指标划分为5个等级,但是具体评分原则需结合不同指标的现状值确定,各指标的特征值见表5.3。

表5.3 河北省水资源税改革实施效果评价指标特征值

续表

(四)评价方法

通过总结规律性、普遍性特征,采用了对比分析法和专家咨询的方法建立评价指标体系并分等级定量评价改革效果,指标体系见表5.2。首先对各指标数据进行无量纲处理,然后采用主客观结合的熵权法-层次分析法确定各指标的权重,将确定的主客观权重结合,既削弱了主观因素对权重的影响,也弱化了因数据差异过大导致客观权重赋权差异的问题,弥补了单一数据方法存在的不足,并且此处的权重不是一成不变的,而是随问题的逐步解决动态变化的。最后按照给出的计算公式计算得到水资源税改革综合效果的评价,并依据水资源税改革综合指数大小划定相应等级,得到相对精确、有效的评价结果。

1.层次分析法

首先,使用层次分析法确定较为主观的权重,层次分析法主要是将同一层次间根据9位标度表进行两两比较,得出其重要程度从而构建判断矩阵A=(aijn×n

将构筑好的判断矩阵进行归一化处理,其具体步骤如下:

(1)首先将比较矩阵中的每一行元素相乘,之后计算Mi的n次方根

(2)进行归一化处理,将各行元素的n次方根相加,并计算其所对应的比例,即为所求特征向量,特征向量即为所确定的指标权重。

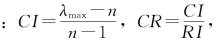
(3)然后计算其特征值,其中(AW)i为AW的第i个分量。

(4)最后需进行一致性检验其中RI为平均随机一致性指标。一般假定CR<0.1时,认为判断矩阵A有较好的一致性,通过一致性检验;反之需要重新设定对比矩阵。

2.熵权法

使用熵权法求出各个指标之间的客观权重。熵权法的主要思路是根据待评价指标中所包含信息量的多少来确定指标的客观权重,其具体步骤如下:

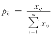
(1)构建评价矩阵A={Xij}m×n,Xij为第i个评价对象的第j个评价指标,其中i=1,2,…,m,j=1,2,…,n。

(2)得到评价矩阵后,为了避免由于各项指标的量纲不统一而产生的不同质问题,通常需要对评价矩阵进行标准化处理。在对评价矩阵进行标准化处理时,需要区分正向和逆向指标,其公式分别为

对处理后的矩阵进行归一化处理,可以得到标准化后的矩阵{Pij}m×n

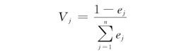
(3)计算指标熵值,计算公式为

在经过标准化处理后,必然存在pij=0的情况,为了可以获得熵值,对于pij=0的数值,其ej=0,熵值越小,表明该指标对评价结果影响越大。

(4)计算各指标熵权

结合主客观分析的方法使用乘法合成法进行组合赋权,来反映评价指标的重要性,即

水资源税改革效果综合评价计算公式为

式中 uj——指标实际值。

水资源税改革综合指数等级划分见表5.4

表5.4 水资源税改革综合指数等级划分