水资源税改革示范效应度计算

三、水资源税改革示范效应度计算

(一)水资源税改革示范效应度的概念

本书采用水资源税改革可推广程度来度量某个地区水资源税改革的整体效果及示范效应,即水资源税改革示范效应度(Demonstration Effect of Water Resources Tax Reform Degree),简称示范效应度(Demonstration Effect Degree,DED)。示范效应度作为目标层,由税改适应、监控能力、管理水平、公众认知、纳税成效5个准则层构成,每个准则层由各自准则层内的指标构成。

根据示范效应度(DED)的大小,为了便于定量对比,按照0.2的间距将示范效应度人为地划为5个等级,见表8.3。

表8.3 示范效应度等级划分

(二)确定权重

在模糊数学中,为了权衡各参考因子对系统的贡献大小,引进了权重的概念。由各因子权重组成的向量,称为权重模糊子集表示为A~=(a1,a2,…,am),0≤ai≤l,m为参考因子个数。权重模糊子集A确定得恰当与否,直接影响计算结果的合理性。A的确定方法有多种,常用的有德尔菲法(专家调查法)、变权法、判断矩阵分析法等。无论采用哪一种确定方法,都存在一定的人为性和任意性。为了减小这一缺陷带来的偏差,通过更仔细地调查和研究工作,得到可信度较高的权重。本书在示范效应效果的评价研究中,权重的确定选用以下方法:

1.问卷调查法

把调查表发给精通专业的专家及了解水资源税改革政策的相关人员进行单个填写,收回后加以整理,形成正式意见。如果意见差距太大,可针对不同意见再进行征询,采用第二轮征询甚至第二、三轮征询;最后统计得到各个权重。这种方法的优势为可以依靠不同人员的丰富知识和宝贵经验,能够比较客观地反映实际情况。

2.层次分析法

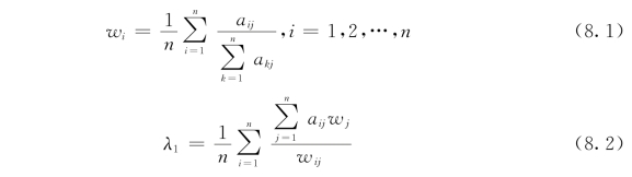
层次分析法是一种将定性和定量相结合来确定权重的决策分析方法,适用于既包含调查问卷数据又包含统计数据的指标权重的确定。层次分析法通过两两比较、计算矩阵最大特征值及其相应的特征向量,以确定各指标的权重,具体的计算过程如下:

(1)构造判断矩阵。在所有因素中任取两个因素进行对比,根据因素的重要程度,依照表8.4赋值,构造判断矩阵A=(aijn×n

表8.4 构造判断矩阵

续表

(2)计算权向量及特征值。对给定的判断矩阵A=(aijn×n,确定权向量W=(w1,w2,…,wnT及最大特征值λ1,其中

(3)层次单排序及其一致性检验。对应于判断矩阵最大特征根λmax的特征向量,经归一化(使向量中各元素之和等于1)后记为W,W的元素为同一层次因素对于上一层次因素某因素相对重要性的排序权值,这一过程称为层次单排序。能否确认层次单排序,需要进行一致性检验。一致性检验是指对A确定不一致的允许范围。其中,n阶一致阵的唯一非零特征根为n;n阶矩阵A的最大特征根λ≥n,当且仅当λ=n时,A为一致矩阵。由于λ连续的依赖于aij,则λ比n大的越多,A的不一致性越严重。一致性指标用CI计算,CI越小,说明一致性越大。用最大特征值对应的特征向量作为被比较因素对上层某因素影响程度的权向量,其不一致程度越大,引起的判断误差越大。因此可以用λ-n数值的大小来衡量A的不一致程度。定义一致性指标为

CI=0,有完全的一致性;CI接近于0,有满意的一致性;CI越大,不一致越严重。

为衡量CI的大小,引入随机一致性指标RI,即

其中,随机一致性指标RI和判断矩阵的阶数有关。一般情况下,矩阵阶数越大,则出现随机一致性偏离的可能性也越大,其对应关系见表8.5。

表8.5 随机一致性指标RI和判断矩阵阶数的对应关系

考虑到一致性的偏离可能是由随机原因造成的,因此在检验判断矩阵是否具有满意的一致性时,还需将CI和随机一致性指标RI进行比较,得出检验系数CR,公式为

一般地,如果CR<0.1,则认为该判断矩阵通过一致性检验,否则就不具有满意一致性。

(4)层次总排序及其一致性检验。计算某一层次所有因素对于最高层(总目标)相对重要性的权值,称为层次总排序。这一过程是从最高层次到最低层次依次进行的。

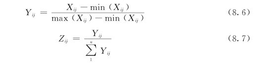
3.熵权法

一般来说,若某个指标的信息熵越小,表明指标值的变异程度越大,提供的信息量越多,在综合评价中所能起到的作用也越大,其权重也就越大。相反,某个指标的信息熵越大,表明指标值的变异程度越小,提供的信息量也越少,在综合评价中所起到的作用也越小,其权重也就越小。熵权法确定权重步骤如下:

(1)首先对数据标准化、归一化处理,即

(2)求指标信息熵为

(3)确定权重为

式中 Xij——各指标数据;

Yij——各指标标准化后的数据;

Zij——各指标归一化后的数据;

Ej——各指标的信息熵;

Wj——各指标权重。

4.层次分析法和熵权法结合

层次分析法和熵权法的相互补充,不仅削弱了许多主观因素对层次分析法赋权的影响,同时也弱化了因样本观测值差异性较大导致客观赋权产生偏差的问题。综合主观性和客观性得到更为客观合理的指标权重,公式为

式中 Vj、Wj——层次分析法与熵权法确定的指标权重。

最后得到组合权值AT=(F1,F2,…,Fn)。

(三)示范效应度计算

根据不同地区的实际情况,依据评价标准对指标进行赋值;并根据权重确定方法确定各个指标权重,最后由各个指标与对应权重相乘,加和得到最终结果,即示范效应度,公式为

式中 DED——示范效应度;

n——指标个数;

Fj——指标综合权重;

Pj——指标赋值得分。