复习课的教学策略与实施
复习课是学生认知的继续深化和提高,让学生从更高的角度掌握和理解已学知识和技能,进而提高他们的数学能力。就初中数学而言,如何激发学生上复习课的兴趣,把复习课变成不仅仅是让学生复习知识的课,还要让学生感受它与新授课不同的另外的一种风景,感受到复习课的魅力。
![]()
布鲁纳指出,“学习的实质就是理解学科的基本结构”,“如果你理解了知识的结构,你无须为了知道各个事物的属性与每一个事物打交道,只要通过对某些深奥原理的掌握,便有可能推断出所要知道的个别事物”。由此可见,结构化教学是培养学生元认知的重要手段和有效途径。而数学本身就是一门结构性、关系性很强的学科,数学概念、数学法则、数学公式和数学方法之间联系密切。运用结构化教学,可以帮助学生清晰地把握整个教学内容,使提高学生的数学素养变为现实。
结构化的知识框图,是指从知识体系与结构关系角度对学习内容进行横向梳理,将上下位知识进行纵向联系,形成结构化的框图。设计时要注意以学科的课程标准为依据,把握数学核心素养的培育目标;通过创设真实情境和设计有效问题串,引领学生的思维发展;关注学生自我建构与发展的过程,促进学生数学核心素养的生成。
复习课是基于学生对已学知识有一定程度了解的基础上,把学过的知识进行系统归纳,并将知识点串成线,结成网,因此我们可在课堂上引导学生列出本节课的知识结构,实施结构化教学,从而真正实现把复习的主动权交给学生。结构化的知识框图,适合于整套教材的专题复习课,也适合于章节(单元)小结复习课,当然课时教学同样可以适当运用。
![]()
复习课的意义在于温故知新,做好“温故”才能“知新”。复习不要简单重复,也不能盲目拔高,扎实的“双基”训练是上好初中数学复习课的基础。教师可要求学生在上复习课之前把自己掌握不好的知识点查找并记录下来,复习课上教师针对学生反馈的问题进行重点讲解,做到有的放矢,这样可以使学生学得主动,老师教得轻松。
在数学复习课教学中,教师要“用好教材”,注意引导学生对教材的例题和习题进行分析、归类,总结一般性的规律方法,形成解题经验。注重进行变式训练,对有代表性的问题进行灵活变换,达到举一反三、触类旁通的效果。但一定要避免“题海战术”,要设计具有代表性的典型题目,力争练的内容要“全”,练的习题要“精”,练的方法要“活”,练的时间要“足”。习题的训练要循序渐进,由浅入深,由简到繁,总结出规律性的东西,让全体学生都积极参与到复习活动中,主动深入思考,夯实基础知识和基本技能。
![]()
课程标准明确指出:“要加强对解题的正确指导,要引导学生从解题的思想和方法上做必要的概括”,这就是新教材的新思想。数学的思想和方法存在于问题的解决过程中,数学问题的步步转化无不遵循着数学思想方法的指导。复习课中,适时渗透数学思想和方法,不仅可以加快和优化问题解决的过程,而且还可以达到会一题而明一路,通一类的效果,摆脱了应试教育下题海战的束缚,让学生达到对数学思想和方法内化的境界。
1.在问题解决中适时渗透数学思想方法
初中阶段要向学生渗透的数学思想主要有:数形结合思想、转化(化归)的思想、分类讨论的思想、整体的思想等,这些思想是初中数学的精髓,贯穿于整个学段的数学学习,尤其是复习过程中更要注重运用。
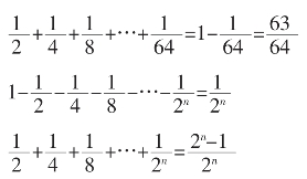
数形结合思想。例:计算
。
分析:依次计算可求出结果,但较麻烦。如果结合几何图形分析,可更快发现答案。下面是我在教学时引导学生自主探究后,呈现的几种做法:
学生甲:我利用线段的长度解决。设一根绳子的长度为1,第一次截去它的一半,第二次再截去余下的一半,按同样方法进行下去,第八次截完后,绳子的余长是多少?

观察图形可知答案为
。
学生乙:我利用正方形的面积解决,设一个正方形纸片的面积为1,第一次剪掉它的一半,第二次再剪掉余下的一半,按同样的方法进行下去,剪8次后,余下的面积是多少?如图所示(设计方法不唯一):

学生丙:(变式练习),我可以结合图形口算出:

学生丁:我发现一个规律:

新课标指出:数学教学,不仅需要教给学生数学知识,而且要揭示获取知识的思维过程,这一思维过程就是思想方法。在此题的解答中,巧妙运用了数学结合思想方法,使问题迎刃而解。我国数学家华罗庚对数形结合这一数学思想有过精辟的论述:数缺形时少直观,形缺数时难入微,数形结合百般好,割裂开来万事休。
转化(化归)的思想。转化(化归)是把未知解的问题转化在已有知识范围内可解的问题的一种重要的思想方法。在初中数学中,转化的思想应用得最广泛。如:数与数、形与形、数与形之间都可进行转化;实际问题转化为数学问题解决;函数与方程、不等式之间相互转化。例如:在判断二次函数y=ax2+bx+c的图像与x轴的交点的个数时,可将其转化为一元二次方程ax2+bx+c=0的根的情况来解决,这里充分体现了函数与方程之间相互转化的思想;在解决“梯形”的有关问题时,我们通常要添加适当的辅助线,将梯形转化为平行四边形和三角形来解决,这体现了形与形之间的相互转化。
值得注意的是,转化有等价转化与非等价转化、等价转化要求转化过程中的前因后果是充分必要的,才保证转化后的结果仍为原问题的结果,而非等价转化其过程是充分或必要的,要对结论进行必要的修正。如:解分式方程时,首先要将其转化为整式方程,需要注意的是最后要验根,我们知道学生最容易漏掉验根这一步,就是因为在这个转化过程中是非等价的。在教学时,教师必须向学生讲清因为整式方程的根有可能使最简公分母为零,所以要将其代入最简公分母中进行检验。因此,我们在应用时一定要注意转化的等价性与非等价性的不同要求,实施转化时确保其等价性。这一点对初中学生而言,算是不易掌握之处。如化归的数学思想是解决问题的一种基本思路,在整个初等方程及其他知识点的教学中,可以反复渗透和运用。
分类讨论的思想。在解答某些数学问题时,有时会遇到多种情况,需要对各种情况加以分类,逐类求解,然后综合求解,这就是分类讨论法。分类讨论法最重要的是“不重不漏”。也就是说:标准要统一,对象要确定。如,复习一次函数的应用时,经常会遇到这样一类题目:某书店规定:买书不超过10本时,每本书定价8元;买书超过10本时,超过的部分每本打8折,请写出买书的费用y(元)与买书的本数x之间的函数关系式。分析:此题中由于书的本数不确定(是否超过10本),因此在列函数关系式时,就要分类讨论:当x≤10时,y=8x;当x>10时,y=8×10+0.8×8(x-10)。再如:已知等腰三角形一腰上的高与腰长的比为1:2,求这个等腰三角形顶角的度数。分析:由于三角形的高有可能在三角形的内部,也有可能在三角形的外部,因此,此题的图形应分类讨论:当顶角为锐角时,求得顶角的度数为30;当顶角为钝角时,求得顶角的度数为150。
整体的思想。在解答某些数学问题时,有时会遇到对单个未知元素无法求解,可将与未知元素有关的量作为一个整体,寻找捷径解决问题。如,在复习方程组时,有这样一道题目:甲同学到书店购买3本语文书、2本数学书、1本英语书需花32元;乙同学买1本语文书、2本数学书、3本英语书需花16元,问:若各买1本语文书、数学书、英语书共需花多少钱?
分析:此题乍一看,感觉有三个未知数,却只有两个等量关系,所以无法求出每种书的单价;但当我们再回头审题时可以发现,甲乙二人购买每种书的总数都为4,因此我们可将一本语文书、数学书、英语书共需的费用作为一个整体,先求出这些书的总价,而后除以4,即得答案。由此可见,巧用整体的思想是解题的捷径。很多学生深有体会地说:当我们对一道题的思想百思不得其解时,忽然发现整体的思想方法可以将其轻松解决,那种感觉就好似“梦里寻他千百度,蓦然回首,那人却在灯火阑珊处”。(https://www.daowen.com)
2.由简单问题提炼数学思想方法
一提到数学思想方法,很多教师会认为必须通过综合复杂问题的解决才能体现其价值。其实不然,我们在教学时,应该利用简单问题的解决让学生体验数学思想方法的魅力,形成运用思想方法解题的意识,然后在面对复杂问题时才能游刃有余,轻松解答。下面的案例是一节二次函数的复习课,我们来看看教师是如何将数学思想方法渗透于教学中的。
教学过程:
探究活动一
一、知识梳理 查漏补缺:(自主完成,有疑惑可翻阅课本;小组交流,校正答案)
(一)二次函数的图像及性质

(二)二次函y=ax2+bx+c与一元二次方程ax2+bx+c=0的联系
一元二次方程ax2+bx+c=0的两个根,即为二次函数y=ax2+bx+c与x轴的两个交点的________________。
因此,二次函数y=ax2+bx+c与x轴的交点的个数可以根据b2-4ac的值来确定;即
当b2-4ac________时,抛物线y=ax2+bx+c与x轴________交点;
当b2-4ac________时,抛物线y=ax2+bx+c与x轴________交点;
当b2-4ac________时,抛物线y=ax2+bx+c与x轴________交点。
(三)数形结合思想在二次函数中的简单运用
二次函数y=ax2+bx+c中的各项系数a、b、c的符号与图像的联系。
a→
b→
c→
【设计意图】
这一环节主要是“温故”,夯实基础知识,为后面的探究活动做好铺垫。
探究活动二
二次函数y=ax2+bx+c的图像如图所示,你能从图中获取哪些信息?(自主解决,展示交流)
【分析】
学生一般会从开口方向、顶点、对称轴、增减性、与x轴交点、与y轴的交点等方面获得a、b、c、b2-4ac等代数式的取值范围。教师可以引导,得到与a、b、c有关的代数式,如此时点P(a,bc)在第______象限等。

【设计意图】
1.知识方面:借助此题,可以巩固 函数图像的基本性质;
2.思想方法层面:让学生感受在解题时,很多图形的特征常常体现着数的关系,体验数形结合的思想。
总之,上好复习课,需要教师转变观念,把发展学生思维,提升数学素养为目的。教学中教师要懂得退位,以学生为主体,大胆放手,敢于创新,科学设计教学活动,为学生提供一个广阔的探索学习空间。教师始终作为组织者、合作者、指导者,引导学生主动获取知识,充分发挥内在潜力。这样我们的复习才会收到良好的效果,学生的素养提升才会落地。