概念教学的四种形态
数学概念学习的基本形态主要有以下四种:概念形成、概念同化、概念抽象、问题引申。由于教学是建立在学习理论的基础之上的,因而概念教学就相应有“概念形成、概念同化、概念抽象、问题引申”这四种基本形态。
![]()
概念形成是指学生在概念学习中,通过对同类事物中若干不同实例进行感知、分析、比较和抽象,以归纳方式概括出这类事物的本质属性从而获得概念的方式,概念形成是从特殊到一般获得概念的方式。
1.概念形成的基本流程
概念形成的基本流程:具体实例—观察共性—抽象本质—形成定义—强化概念—概念应用—形成概念体系(概念域)。
具体程序为:
第一步,由教师提供一组概念的正例供学生观察和分析。所谓概念的正例、指在所要学习的概念的外任中的特例,这些例子存在共同的本质属性。
第二步,学生通过独立观察或小组合作,概括出这些例子共同的、本质的属性。在这一过程中,教师要引导学生提出一些假设,再经过比较、分析去验证、修正这些假设。
第三步,学生在教师的点拨下,归纳、概括和抽象出这组实例的本质属性。
第四步,学生尝试自己给出概念的定义,教师给予评价、修正和补充。
第五步,由学生举出更多概念的正例,教师举出反例让学生识别和判断,强化学生对概念的理解。
第六步,概念的应用,包括概念的直接应用和讨论概念的性质,而讨论概念的性质就进入命题学习阶段。
第七步,经历概念的多次应用,逐步形成概念域和概念系。
案例 单项式概念的教学设计。
第一步,教师给出一组实例,学生解答。
(1)2x表示一个数,它的相反数是______
(2)m表示正方形的边长,则正方形的周长是________,面积是______
(3)a表示三角形的一条边长,h表示这条边上的高,该三角形的面积是__________
(4)一件商品的原价是a元,现降价25%,则现价为________元。
第二步,学生观察分析:这些代数式中包含哪些运算?教师引导学生举出一些与这组实例不同特征的例子(含加减运算的),做对比分析,找到与正例不同之处。第三步,归纳概括本质特征:含有“乘法”运算,表示“积”的结果。
第四步,学生尝试抽象归纳出单项式的概念,教师给予点评,并补充“单个的数字和字母也是单项式”。
第五步,反例强化。教师举出反例:
,x+2y,让学生判别是否为单项式,并说明理由。
第六步,形成概念体系。将单项式纳入代数式体系,使学生形成新的认知结构。
2.概念形成模式的教学策略
(1)科学运用正反例强化概念
通常情况下,在概念形成过程中,教师先提供正例,当学生猜出这组例子的共同特征后,教师再举出一些反例让学生辨别,把握概念的本质属性,以强化概念。可以说,运用正反例强化概念,是概念形成教学模式必须采用的方法。
首先,确定正反例的呈现顺序。正反例的呈现顺序是指在教学中以什么顺序呈现正反例,应该是按照例子的类型还是按照例子的特征来呈现。按例子的类型呈现是指先呈现所有正例再呈现所有的反例,或者是先呈现所有反例再呈现所有的正例。按例子的特征呈现,是指基于例子本身的属性和例子之间的关系来呈现正反例。例如,假定一个概念的定义中有几个条件,即满足所有条件才能叫作某某概念,那么不满足任一条件而满足其余所有条件的例子都是反例,于是就可以用满足所有条件或不满足某一条件来呈现正反例。几乎所有的研究都表明按例子的特征来呈现正反例的教学效果最好。当然,正反例的呈现方式要根据具体的概念情形来定,不宜采用单一的例子类型或者例子的特征来呈现。
例如,“函数”概念,先举正例再举反例为宜。先列举一组实例,具备共同特征:“某一变化过程中,有两个变量,其中一个变量随另一个变量的变化而变化。且当其中一个变量的值确定时,另一个变量有唯一确定的值与之对应。”通过若干个例子,让学生头脑中形成初步认知,感受到这组例子的这两个共同特征,此时归纳出函数的定义。然后再举几个反例,让学生对照定义进行判断,并说明理由。这样通过对比、分析,深刻理解函数定义的两个基本要素,强化概念。
其次,把握正反例的质量。恰当的正反例可以促进学生对概念的掌握,否则就会干扰学生造成混淆。好的正反例通常要具备三个特征:
正反例相互匹配,即正例与反例之间具有相同的无关属性。如,学习“分式”概念时,正例
和反例
都含有除法运算,但二者的本质区别在于,
的分母中含有字母,因此它是分式,而
的分母中不含有分母,所以它不是分式。
两个正例之间的无关属性的值尽可能地不同,即正例之间差异大。如,学习“一元二次方程”概念时,教师举出这样一组正例:x2=3,2x2=3x(x+1)2=4x,x2+4x=0,这组对象中,有的缺少关于x的一次项,有的缺少常数项,但是它们都具备共性:都是整式方程,含有关于x的二次项且未知数x的最高次数是2,也就是说具备了一元二次方程的本质属性。
由简单到困难呈现例子,即正例和反例都应当由浅入深地呈现。如,学习“函数”概念,对于反例的列举,可以先用关系式的形式:一边为a且这边上的高为h的三角形面积
,直接观察发现其中含有三个变量,不符合定义“只含有两个变量”;然后再用图像反例:竖S形图像,横轴取同一数值时,纵轴上有两个或多个值与之相对应,不符合“其中一个变量的值确定时,另一个变量有唯一确定的值与之相对应”这一关键特征,所以它不是我们要研究的函数。这个反例对部分学生有一定的难度,但是如果能够准确做出判断,就说明学生对函数的本质特征有了深刻认识和理解。
再次,正反例的数量要合理。正反例的比率与数量是多少比较合适呢?研究表明,通常正例的数量应该大于或等于反例的数量,而对于课堂教学而言,1∶1的比率比较符合教学实际。当然,教学中运用正反例的个数并没有固定的标准,最终还是要取决于实际的学习任务、学习环境及具体学情。
总而言之,数学概念教学中,教师应积极使用正反例引领学生进行概念学习。
(2)揭示内涵形成概念体系(或概念域)
教学中,教师应当从多重层次、不同背景及多维结构去揭示概念的内涵,帮助学生构建完整的概念域。(https://www.daowen.com)
第一,在多重层次中揭示概念的内涵。在不同的结构中对概念的认识是有差异的,即概念具有发展性。例如,“平行线”概念,初中学段定义为“在同一平面内,两条不相交的直线叫作平行线”,这里之所以强调“在同一平面内”,是因为在三维空间中,异面直线也是不相交的两条直线。数学概念的发展性反映了人们认识概念的不断深入,同时又反映出数学概念的复杂性和抽象性。在数学教学中教师首先要充分认识概念的发展性,然后去帮助学生建构完整的概念域。
例如,鲁教版六年级上册“绝对值”概念。
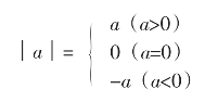
第一层次:数a的绝对值|a|是指数轴上表示数a的点与原点的距离,即绝对值的几何意义。
第二层次:其代数意义可以表示为下图:

即:一个正数的绝对值是它本身,一个负数的绝对值是它的相反数,零的绝对值是零。
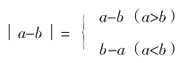
第三层次:数a-b的绝对值|a-b|是指数轴上表示数a的点与数b的点之间的距离。
第四层次:
第五层次:![]()
第二,在不同背景下揭示概念的内涵。概念的背景通常指其现实背景或现实模型,多是概念的一些特例。通过特例使学生在感性材料基础上获得对概念的初步认识,由感性逐步上升到理性,从而形成概念,并达到多背景意义下对概念的认识。
如,鲁教版七年级上册“直角坐标系”概念。
教师先出示不同背景:
(1)一艘轮船从A码头向正北方向行驶了3000米到达B码头,然后再向正东方向行驶了4000米到达C码头。另一艘轮船也从A码头出发向正南方向行驶了5000米到达D码头,然后再向正西方向行驶了3000米到达E码头。请你用一对有顺序的数表示出A、B、C、D、E这五个点的位置?
(2)如何描述教室里你的座位?需要用几个数字?第2行第3列与第3行第2列相同吗?如果我们用(2,3)表示2行3列,那么3行2列你会表示吗?用这种方法你能描述出教室里任意一个同学的座位吗?
(3)如图,图5.1、图5.2是两个大小相同的正方形,图5.1中有一个点A,你能在图5.2的同样位置画出一个点吗?你是怎样确定该点的位置的?

图5.1

图5.2
第三,在不同结构中揭示概念的内涵。如,在描述位置时,可以在平面直角坐标系中用有序实数对去刻画,把直线与方程对应起来,也可以用极坐标去描述,用“角”和“距离”去建立直线的方程。点与有序实数对的一一对应关系,是数与形之间的桥梁,促成了二者的相互转化。
3.注重“概念应用”加深理解
概念用于解决问题分为两种水平:第一,基本认知应用,指学生习得概念后,当遇到这类事物的特例时,就能将其作为具体例子归入自己的认知系统。例如,学生在学习了分式的概念后,能正确判断所给的代数式是否为分式,那么就说明其达到了概念的认知应用水平。第二,深层次应用,即概念在思维水平上的应用。学生学习的新概念往往类属于原有概念中,需要对原有概念进行重新组织和加工,从而解决新问题;应用概念时可能不仅仅要用到当前学习的概念,还要涉及多个概念,也就是要对概念综合运用。例如,学生在学习了圆的概念后,在解决有关圆的综合问题时,圆的“形成定义”可能不足以应对,而需要用到圆的其他等价定义进行解答。
![]()
在教学中,教师利用学生已有的知识经验,以定义的方式直接提出概念,并揭示其本质属性,由学生主动地与原有认知结构中的有关概念相联系去学习和掌握概念的方式,叫作概念同化。从教学操作看,概念同化是先给出概念的定义,然后再用例子去解读定义。因此,概念同化是从一般到特殊获得概念的过程。
概念同化过程可以分为三个阶段:(1)辨别,即对以后知识的回忆和重现。即,辨别新概念中要用到哪些已有的概念?新旧概念之间有什么关系?如,在学习“矩形”概念时,在给出矩形的定义后,学生需要对“四边形”和“平行四边形”等相关概念进行回忆,辨析异同点,以强化矩形的特性。(2)同化把新概念纳入原有认知结构中,建立新旧概念之间的联系,同时对原有认知结构进行重建,形成新的认知结构。例如,前面提到的关于矩形概念的学习,学生需要明确矩形与平行四边形的异同点,探究矩形除了具有与平行四边形相同的共性之外,其独有的性质,从而将矩形概念纳入认知结构,形成对“平行四边形”相关概念的新认知结构。(3)强化。举出一些新概念的正例和反例,让学生通过进一步的辨析,加深对新概念的理解。
概念形成与概念同化并不是相互独立的,概念同化离不开分析、抽象和概括,因而含有概念形成因素。同样,概念形成要用直接的、具体的感性材料去同化新概念,其中又包含着同化的因素。相对而言,教学时使用概念形成模式比较耗费时间,但有助于培养学生观察和发现问题的能力;概念同化模式比较节约教学时间,对培养学生的逻辑思维能力比较有利。在概念教学中,不宜单纯地使用一种学习方式去进行概念教学,应当根据教学内容选用适当的教学形式,两种方式相结合,以培养学生的综合素质。
![]()
概念抽象模式通常经历以下操作程序:第一步,学生观察辨析各条件的特征。第二步,采用增加条件或者减少条件、扩大或减小原概念内涵、条件替换方式,提出一个新概念的猜想。第三步,举例验证猜想。第四步,如果找不到新概念的例证,就要否定自己的猜想,重新观察修正完善并提出新的设想。再进行验证。第五步,应用概念以形成概念域和概念系。
数学抽象主要包括对现实事物的抽象和对数学对象的抽象。对现实事物的抽象主要是抽象出数学概念、规则、模型。而对数学对象的抽象,则通常是抽象出新的概念、命题、模型,以及数学思想方法和数学结构体系。对于第一类抽象又可分为三种类型,一是弱抽象,即削弱条件:减少条件个数或者缩小概念内涵;二是强抽象,即加强条件:增加条件个数或者扩大概念内涵;三是广义抽象,即替换条件:用新的条件替换原来的条件。概念抽象是指在原有概念基础上满足上述三个条件之一,从而获得新概念的学习方式。
如,学习相似形的概念时,教材中提供了形状相同,大小不等的一些图片,提出问题:各组图形有什么共同特征?学生观察、归纳与概括,从不同图形中分离出形状相同的共同属性,舍弃“图形名称”等其他属性,从而形成“相似形”这一新的数学概念,这就是典型的弱抽象方式。再如,学习同位角时,教师出示三线八角的几何图形,提问学生:它们有什么共同特征?学生观察发现:所标识的角都在截线的同旁,在被截线的同侧。舍弃了“角的大小”其他属性,分离出它们的共性“同旁且同侧”这种位置关系。此时概念的形成过程也是一种弱抽象。内错角、同旁内角等概念的形成也是如此。初中学段,很多几何概念的形成都经历了弱抽象的过程。教学中,教师可以为学生提供丰富的典型实例,如,相似形的教学中,除了教材提供的图片外,教师可以展示教具三角板与学生使用的形状相同的三角板,也可以列举“形状相同,大小相等”的平面图形等等,以此丰富学生的感性认识,为理性概括奠定基础;要给学生充分的时间观察、比较、归纳,充分经历弱抽象形成概念的过程,在生生交流、师生交流的互动中,培养学生的概括能力,积累活动经验,发展数学抽象能力。
对于经历强抽象形成的几何概念,在初中学段也普遍存在。如,等边三角形(或正三角形)的概念,就是在“三角形”这个原有概念的基础上加入“三边相等”这一新的特性,得到新概念“等边三角形”,这就是典型的强抽象。再如,特殊四边形一章的学习中,从四边形—平行四边形—矩形(菱形)—正方形,通过不断增加新的特性,概念的内涵越来越丰富,外延越来越小,形成“强抽象”链,这个过程也是典型的强抽象。强抽象是初中几何概念形成的主要形式,强抽象使原有数学对象的内涵更丰富,但这种丰富不是具体的,而是抽象的。所以,为了帮助学生理解新概念,教师要多提供具体而典型的例子,也可以让学生结合所学的知识举例,通过实例丰富学生的感性认识,从而更好地理解概念的内涵。
又如,如果两个数的积为1,那么这两个数互为倒数。先要把条件改为:如果两个数的和为零呢?于是产生了相反数的概念。还可以思考,两个数的积为-1呢?那么这两个数之间又是什么关系等,这种学习方式就是通过条件替换,从而产生了一个新概念。
简单地说,概念抽象学习方式,是由一个概念去获得另一个概念的过程,从某种意义上,这种方式可理解为是从特殊到特殊获得概念。当然,弱抽象形式削弱了条件,所以可理解为从特殊到一般的过程,而强抽象加强了条件,这种形式又可理解为从一般到特殊的过程。
![]()
有些数学概念的产生,是源于由于解决问题的需要。在解决问题中自然生成或必须定义的概念。这里的问题包括现实生产生活中的问题,更多的是数学内部自己的问题。所谓问题引申,是指通过问题解决的过程去生成概念的学习方式。例如,求正方形的面积,增长率问题等问题时都出现了自变量的次数为2的函数,引出了研究这类函数的性质的必要,因此将其命名为二次函数。
数学知识的产生和发展多是源于问题,问题引申在概念教学中使用得也很多。问题引申模式通常要经历以下几步:第一步,教师创设问题情境,将要学习的概念设置于一个问题,让学生产生认知冲突;第二步,学生尝试解决问题;第三步,在解决问题的过程中引入概念;第四步,运用正反例强化概念,加深理解;第五步,概念应用,在解决与概念相关的问题过程中形成概念域和概念系。