数学命题教学的操作程序
2026年01月15日
一、
数学命题教学的操作程序
数学命题的教学,通常采用归纳衍生模式。具体操作程序通常包括以下五个步骤:第一步,创设问题情境。教师把待讲授的命题以问题的形式呈现,比如将问题设置于一种情境中,也可以把问题变成一个开放性问题,还可以将问题做特殊化处理,对问题进行多种变式等等,通过多种形式创设一个可以衍生命题的问题情境。
第二步,在问题情境中,教师引导学生去感知、体验、概括、抽象,从而归纳出命题。
第三步,分析证明思路,写出证明过程。(https://www.daowen.com)
第四步,命题的应用,转入解题教学阶段。
第五步,在命题应用的基础上,逐步使学生形成命题域和命题系。
如,学习平均值不等式时,可设计如下两个实际应用问题:
(1)某商场在春节前进行商品降价酬宾销售活动。计划分两次降价,有三种降价方案:甲方案是第一次打p折销售,第二次打q折销售;乙方案是第一次打q折销售,第二次打p折销售;而丙方案是两次都打折
销售。请问:哪一种方案降价较多?
(2)今有一台天平两臂之长略有差异,其他均精确。有人要用它称量物体的重量,只需将物体放在左、右两个托盘中各称一次,再将称量结果相加后除以2就是物体的真实重量。你认为这种做法对不对?如果不对的话,你能否找到一种用这台天平称量物体重量的正确方法?
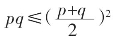
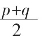
教师引导学生审题、分析讨论,两个问题都归结为不等式
问题,即归结为平均值不等式p2+q2≥2pq。由此将现实生活中的问题引出了要学习的命题。