深度学习,让数学素养落地
要实现数学素养落地,就要让学生在学习过程中,不仅仅要关注获得的知识和技能,还要关注教师能否给学生充分的自主探究的时间和空间,并提供适当的教学载体,进行深度思考和探究,有效提升学生的核心素养。
![]()
数学教育的基本目标之一是提高学生的数学思维能力,而提高学生数学思维能力的关键是提高学生的元认知水平,让学生“学会学习”。反观目前的课堂教学,以“知识”为本位的现象仍普遍存在,学科思维训练不到位,深度学习更谈不上。通过调研发现,学生对基础知识和基本技能掌握较好,具备基本的良好的学科思想方法;而在运用相关知识和方法解决问题方面有所欠缺,缺乏运用创新思维形成新的解决问题的方法和策略的能力。这些现象说明,当前的课堂教学大多徘徊在“知识教学”层面,并没有实现“知识育人”目标。科学运用思维导图,可以让学生学会自己管理学习,让知识也成为培养学生品格、思维品质、学习策略等成长素养的手段。
如,利用二次函数解决利润最大化问题。
例:某商品的进价为每件40元,售价为每件50元,每月可卖出200件。如果每件商品的售价每上涨1元,则每个月少卖10件。当每件商品的售价定为多少元时,每个月的利润最大?并求出最大利润。
出示例题后,引导学生绘制思维导图,将“题干、关联知识点、解题思路、策略方法”呈现出来。导图的核心为“要解决利润问题,需要哪些量?”学生找到“单位利润和销售量”两个量后,又需要构建一级支架问题:每件商品的利润和销售量又如何表示?要解决这个问题,这就需要勾勒出二级支架问题:涨的钱数如何表示?每件商品的售价、减少的件数又如何表示?当学生画出思维导图时,问题也就迎刃而解!此时,教师及时引导学生归纳总结,形成解决问题的策略与方法,从而把知识教成了“元知识”,提升了元认知能力。
运用思维导图,可以把原本不可见的思维结构呈现出来,归纳出解决问题的策略与方法,提升学生的元认知能力;在这个过程中又融合了结构化思考、逻辑思考、追问等思维方式,学生在经历从“掌握知识点的简单学习”到“构建思维脉络的系统学习”的过程中,养成良好的思维习惯。
数学核心素养是在学生有效的学习过程中逐渐培养起来的。传统的数学复习课,往往是搞题海战术,做题讲题,长此以往,学生会产生厌学情绪。为此我和课题组成员进行了尝试,借助思维导图引领学生科学学习,调动学生数学学习的积极性,让他们喜欢数学课。思维导图可以借助图画、色彩等手段,把难以体现的隐性知识转化成具体形象的显性知识,这样,学生在学习过程中,把数学知识点之间的本质联系用思维图的方式呈现出来,加深了学生对数学知识的理解,增强了学生对数学知识的综合运用的能力,提升学生的思维能力和思维品质。
如,二次函数一章的学习,在课前预学环节,学生绘制思维导图,将学生原本不可见的思维用“画图”的形式表现出来,让教学更有针对性;课堂学习后让学生完善思维导图,让思维导图助推“导学”,形成知识体系。巧妙地运用思维导图,有效的帮助学生梳理知识、优化策略,培养学生思维品质,提升学生数学核心素养。
![]()
传统的数学教学大致是:教师呈现内容,学生跟着内容学习,鲜有学生对所学内容提出疑问或困惑。这种情况下,纵然教学任务顺利完成了,但对于学生而言,无论是知识的建构还是能力的提升,收效都是模糊不清的。要改变这一现状,就要让学生站在课堂的中央,实现自主探索与深度学习;还要让学生从课上走向课下,学会迁移应用与后续延展;最终实现学会学习、自主成长的长远目标。
案例《勾股定理》教学活动设计
(一)情境创设,温故知新
对于直角三角形,你已经学过哪些知识?
1.两锐角之间的关系:______________________
2.边角关系:_____________________________
3.如图,强大的台风使得一根竹竿在离地面3m处折断倒下,竹竿顶部落在离竹竿底部4m处,竹竿折断之前有多高?

【设计意图】
这个问题情境的引入,旨在引起认知的冲突——用已有知识无法解决,引入研究的必要性——已知直角三角形的两边,如何求第三边的问题,自然而然地激发起学生的求知欲。
(二)探究新知——直角三角形的三边关系
研究方法:特殊到一般
探究活动一:
1.等腰直角△ABC,∠C=90°,a=1,b=1,写出关于c的式子?

【设计意图】
从最特殊的三角形——等腰直角三角形入手研究,遵循“由特殊到一般”的数学研究基本思路与方法。
【问题应对】
预计学生对这个问题很难找到入手之处去解决,教师设计起点低的几个问题:根据已知条件,你可以获得关于△ABC的哪些信息?学生自然会想到“面积”,而直角三角形的面积有两种计算方法,即
,由等腰三角形的三线合一推出
,结合这两种方法即可表示出斜边c的式子,c2=2。
2.类比1题的方法探究:等腰直角△ABC,∠C=90°,a=2,b=2,写出关于c的式子?
【设计意图】
此题既是对第1题的巩固应用,也可以让学生体会“变化中的不变”思想(只是数值变而解题的思路方法不变),同时由1、2两题可以体验“类比”思想在解题中的灵活运用。
3.Rt△ABC,a=1,b=2,写出关于c的式子?

【设计意图】
1、2两题是特殊图形,而第3题则是一般图形,体现了由特殊到一般的探究思路。那么在1、2题中所运用的知识与解题方法能否解决第3题?此处为后面的探究活动埋下伏笔。
由于第3题中“等腰三角形”的条件消失,“三线合一”定理无法运用,导致无法求出斜边上的高,因此无法类比“面积法”解决这个问题。设计这个活动,目的在于再次引出认知上的矛盾,激发学生急于重新寻找解决问题的新方法。
【问题应对】
反思:题1、2有什么相同之处?题3与1、2有什么不同之处?
点拨:c2=2与c2=8,由c2可以联想到什么?

从代数的角度,可以想到乘法运算c2=c·c。
从几何图形的角度,可以想到c2是边长为c的正方形的面积。
因此,接下来我们可以尝试用构建“正方形”的基本构图,仍然利用“面积”来探究。
探究活动二:
借助网格验证活动一中的1、2两题的结论,仍然遵循从特殊到一般的思路。
1.验证下图中以c为边长的正方形的面积为2(见大屏幕)。

2.验证下图中以c为边长的正方形的面积为8。

【设计意图】
既是为了解决探究活动一的第三个问题,同时让学生学会用“割补法”解决图形的面积问题,特别是在网格中充分运用小正方形和直角三角形等基本构图灵活解决有关面积问题。
【问题应对】
学生可能比较习惯“割”的方法,忽略“补”的思路,课堂上放手给学生自主思考,通过展示交流开阔思路。对于学生的各种方法(比如数格子的方法),教师会鼓励他们进行表达和交流。当然,方法应来源于学生的实际,不要为了所谓方法的多样性而向学生提供更多的方法。
3.类比前面的解题思路,求出下图中以c为边长的正方形的面积(a=1,b=2)?

【设计意图】
由特殊(等腰直角三角形)到一般(任意直角三角形),继续用“割补法”解决图形的面积问题,寻找直角三角形三边之间的关系式。
【问题应对】
此题用“割”的方法——将斜边上的正方形分割为边长为整数的直角三角形可能有部分学生会遇到困难,教学中可以采取小组合作、互相交流的方式帮助学生找到解决方法。同时,对比分析“割”与“补”的思路方法的优劣。
4.类比3题的思路方法,探究a=3,b=4时,关于c的式子?

【设计意图】
此题作为一道即时评价检测题,反馈学生是否真正学会用“割补法”探索直角三角形的三边关系问题,同时为下一环节的探索提供素材。
探究活动三:
1.将探究活动二中的四个图形的相关数据填在下表中。

总结归纳:根据表格探索a、b、c之间的关系为____________________
用文字表述:________________________________________________
几何语言:∵________________________________________________
∴________________________________________________
注:勾——较短直角边,股——较长直角边,弦——斜边
【设计意图】
通过具体实例找规律,探究直角三角形的三边关系,符合学生的认知规律。
勾股定理的语言叙述,先让学生自己归纳,然后再自学课本,了解相关名称。
2.几何画板的演示(特殊——一般)
——任意直角三角形中,两条直角边的平方和都等于斜边的平方。
【设计意图】
几何画板的演示,验证了在任意一个直角三角形中,两条直角边的平方和等于斜边的平方,同时再次体现了由特殊到一般的数学思想。
探究活动四:推理验证勾股定理

【设计意图】
任何一个数学结论要想作为解题的依据,必须经过严谨的推理证明。这一环节的设计意图亦在于此。
【问题应对】
学生可能会产生的问题,一是“割”图中,中间的小正方形的边长不会表示,这时教师可加以引导——四个直角三角形是全等的;二是展示图形面积之间的数量关系式时,出现完全平方公式,有部分学生可能会出现错误,课堂上要关注并及时给予矫正。
探究活动五:
首先,解决一中的大树问题
【设计意图】首尾呼应,让学生体验到数学来源于生活又服务于生活。
即时检测
1.Rt△ABC中,∠C=90°,
①AC=2,BC=3,则AB2=
②AC=2,AB=3,则BC2=

【设计意图】
这是对勾股定理直接运用的即时检测,通过练习让学生知道“在直角三角形中,已知任意两边,即可求出第三边的平方”。
2.Rt△ABC中,AC=3,BC=4,则AB2=
【设计意图】
此题需要分类讨论,是对勾股定理的灵活运用。一方面供学有余力的学生研究,体现分层教学;另一方面,也是对全体学生渗透“分情况讨论”的思想方法,同时意识到数学学习中严谨的治学态度的重要性。
【教学思考】
《新课程标准》更加关注,如何在数学教学中培养学生的数学思想方法和积累数学基本活动经验。勾股定理的发现、验证过程中,蕴含着丰富的思维材料,这是发展学生探究能力不可多得的。正是基于这些思考,在《勾股定理》这节课中,教师并不仅仅满足于学生掌握勾股定理及其运用,而特别注重让学生经历勾股定理的探究过程,在探究过程中进一步丰富学生的数学活动经验,通过教师的引导,学生的分组交流、归纳等环节逐步发展学生的推理能力和发现问题、解决问题的能力,同时感受勾股定理的文化价值。注重每一个环节中渗透数学思想方法,在师生互动、生生互动的探索实践活动中,成功地完成了教学目标。
首先,案例遵循由特殊到一般的数学探究思路,引发认知冲突,教学活动形式多样、层层递进,让学生充分经历较多的探究过程,渗透数学思想方法、丰富数学活动经验,提升数学核心素养。
在第一环节,设置问题情境引入研究的必要性,在已知直角三角形两边长的情况下,如何求出第三边?学生用已有的旧知识无法解决,引发认知冲突,激发求知欲望,自然引入新课。
在第二环节,开门见山,明确数学研究的基本思路——由特殊到一般。因为勾股定理是平面几何有关度量的最基本定理。而勾股定理所体现的直角三角形的三边关系,对学生而言探索思路、研究方法都是陌生的。因此我直接引导学生从最特殊、最简单的图形——边长为1的等腰直角三角形入手,根据已知条件及图形中蕴含的“三线合一”定理去分析、解决问题。这样处理,降低了难度,也符合学生的认知与思维习惯。
在探究完特殊图形之后,继续对一般图形——任意的直角三角形探究,此时学生会再次出现认知冲突,用之前的面积公式法解决不了,这就需要另辟道路,如此自然进入下一环节——借助网格来完成探究。在网格探究过程中,给学生充分自主思考的时间与表达交流的机会,积累丰富的数学活动经验,归纳“割补法”在解决面积问题时的重要作用。
如此由浅入深、层层递进的变化训练题组,使学生充分从事这些活动,通过观察、推理、验证交流等获得结论,发展空间观念和推理能力。
其次,通过具体实例探索规律后,借助几何画板验证了对于所有直角三角形“两条直角边的平方和等于斜边的平方”这一结论都成立。这样直观地感受到勾股定理的普遍性。接着又结合完全平方公式及图形的割补法,完成了对勾股定理验证,让学生体会到数学学科的严谨性。
再次,播放视频展示古今中外对勾股定理的不同研究方法,感受数学家的伟大成就与其锲而不舍的钻研创新精神,激励学生严谨治学、勇于挑战、敢于创新,这也是数学学习中需要具备的品质。学生在观看视频的时候,所流露出的惊奇、佩服与强烈的求知欲望,是无声的、最佳的德育渗透,其教育意义已经远远超过了勾股定理这个知识本身的价值。
![]()
深度学习是学习者在理解的基础上,能够批判地学习新思想和事实,并将它们融入原有的认知结构,能在众多思想间进行联系,并将已有的知识迁移到新的情境中,做出决策和解决问题。所以深度学习的基本特征是:批判理解、信息整合、建构反思、迁移运用、问题解决。下面,我以“分式”为例,阐述“让深度学习真正发生”的路径。
课堂简录:
1.创设情境,导入新课
这节课是我们走进新的班级的第一节数学课,昨天在分新班时,老师遇到了一个问题,你愿意帮老师解决吗?请完成下面的题目。
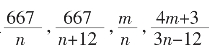
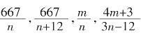
(1)我们初三学生共667人,平均分成12个班,每个班有____人,如果每个班多a个人,那么每个班有____人。
(2)如果初三学生共有m个人,平均分成12个班,每个班有____人,如果每个班多a个人,那么每个班有____人。
(3)如果初三学生共有(m-3)个人,平均分成12个班,每个班有学生____人,如果每个班多a个人,那么每个班有____人。
(4)我们初三学生共667人,平均分成n个班,每个班有____人,平均分成(n+12)个班,每个班有____人。
(5)我们初三学生共m人,平均分成n个班,每个班有____人。
(6)我们初三学生共(4m+3)人,平均分(3n-12)个班,每个班有学生____人。
追问:
(1)此时出现的
是单项式吗?是多项式吗?是整式吗?是我们学过到代数式吗?
(2)和整式对比有什么区别?
(3)这些式子有什么明显特征?
(4)根据其特征可以取什么名称?
(5)怎样把这些特征具体化?
(6)如何用完整的语言表述这些特征?
【教学分析】分式来源于生活实际。通过分析新代数式与整式的区别、新代数式的显著特征,类比分数得出分式,引领学生逐步形成完整的分式概念。
2.合作交流,探究新知
分式的概念:略
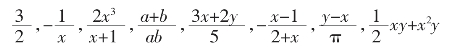
分式的辨析:
(1)下列代数式中,哪些是分式?哪些是整式?

(2)从下列整式中选择两个构造分式:a,b-1,40,5x,a2+1
【教学分析】第(2)题说明分式不仅来源于生活实际,同样可以从数学内部产生(整式的加、减、乘运算结果仍是整式,而整式相除结果有可能是分式)。
3.比较分数与分式的异同
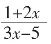
从运动的观点看,分式以统一的形式可以代表着任意一个具体分数,即分式是一般化了的分数。从分数到分式实质是“具体与抽象,特殊与一般”的辩证关系,因此可以从分式到分数的特殊化过程引入分式的求值,分式的意义,分式的值为零的讨论。
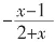
1.当x=2时,分式
的值是多少?请你选一个喜欢的数代入求值。
交流:有同学选-2吗?(引入对分式有无意义的学习)
有同学选1吗?(引入对分式的值为零的学习)
2.巩固拓展
(1)当x为多少时,分式
的值为零?
(2)若
的值为零,
无意义,则m+n=______
通过上述两个问题,引导学生归纳出分式有意义、无意义、值为零的条件。
【教学分析】在分式到分数的特殊化过程中,把探究分式的意义、分式的值为零统一安排在求分式的值的过程中,既能够启发学生自己去发现,归纳总结出分式有意义、无意义和值为零的条件,激发学生的求知欲,满足其表现欲和发展欲,又有利于学生从数学思想的高度去构建知识结构,使知识系统化、结构化。
4.数学生活化——解释简单分式的生活情境
(1)请你设计一个问题,使答案为
。(对于学生的不同回答给予肯定与鼓励)
(2)现有盐水ag,盐水中溶解了b克盐,后加入mg盐,你能发现分式的一个性质吗?
【教学分析】这个环节,既是遵循课标要求(能解释一些简单代数式的实际背景或几何意义),又是对新知识的迁移运用,是检验深度学习效果的重要环节。同时让学生体会分式也是刻画现实世界数量关系的模型,渗透建模思想。
5.归纳总结,盘点收获
请你将今天这节课的收获,用思维导图的方式呈现出来。

【教学分析】这一环节,主要是引导学生从知识、方法、学习经验等方面对本节课的学习情况进行反思、自我评价,有助于学生主动建构知识体系。
【教后反思】
1.“让深度学习真正发生”的实践路径
(1)创设情境,批判地理解分式概念
首先,本课例通过创设情境,从分数引入分式,自然提出问题。启发学生是否可以把
纳入原来的整式概念体系,再对照原有的概念(整式、单项式、多项式)后,发现无法自然生成,必须要建立新的结构,以顺应新知识的产生,这为理解、质疑,批判学习创设了良好的情境。
其次,给新代数式下定义。引导学生分析新代数式的特征,通过观察思考、讨论可发现它们都具有“分数的形式,且分母中含有字母”这样显著的特点,所以,类比“分数”可以将其命名为“分式”。“分母中含有字母”即“B中含有字母”,接着追问对A,B有什么要求吗?引导学生类比分数进行合理猜想,学生通过分数的分子、分母是整数,猜想出“A,B是整式”,得出分式的三个主要特征,至此学生得出分式的定义就水到渠成了。在这个探究过程中,学生类比分数学习分式,学会运用已有方法经验学习新知识,从而感受到新知识、新方法不是无源之水。这样,学生不仅知道了分式的来源,更重要的是让学生学会主动学习和探索新知的方法。真正实现了“教师不是传递知识,而是教会学生学习的方法”。
再次,从数学的角度批判性地理解分式从何处来。在概念辨析中设计了两道例题,一是把分式放到代数式中去辨析,让学生能根据定义识别分式,及时巩固所学,同时,引导学生构建新的知识结构,因为原来的整式结构不够用了,需要扩展到分式结构。二是引导学生用两个整式构造分式,这既是通过变化形式巩固所学,更是让学生知道“两个整数相除可能产生分数,两个整式相除可能产生分式”,从而让学生明白数学既可以来源于生活,也可以从数学内部产生。这一环节设计,既有利于学生建构新知识,也让整式和分式的知识深度融合,更让学生知道数学新知识产生的原因。
(2)用反思推进深度学习
在教学的每个步骤均要关注反思。通过梳理与反思,有利于培养学生的元认知意识与反思能力,同时也能帮助学生形成整体性的认知与体验,感悟到数学学习过程与方法的重要意义。通过比较新代数式与之前学过的整式的区别,反思这类代数式所具有的共同特征,从而归纳出“分式”的定义。反思性学习不仅仅是一般意义上的回顾过去或简简单单地反复思考,而是通过每个阶段的反思来发现项目式学习中存在的问题,批判性地学习新的知识经验技能,建立新旧知识经验技能等各方面的联系,目的是促进问题解决、学会学习和自主发展。因此,反思是实现深度学习的一种有效途径。
(3)整合信息,合理建构分式学习结构
本课通过比较分数和分式,进一步明晰分数与分式的辩证关系:具体与抽象,特殊与一般。从运动的观点看,分式以统一的形式代表着任何一个具体分数,即分式是一般化了的分数。当分式中的字母取确定值时,分式的值就确定(也就是分数),提出分式的求值。在求分式值的过程中,通过字母取不同的值,会出现分式的值为零、分式有无意义等讨论,这样的设计把分式求值、值为零、分式的意义统一置于分式到分数的特殊化过程中,有利于学生理解和建构。学习分式之后,应注意两个联系,一是分式和整式,二是分式和分数。这样形成以分式为核心的横向与纵向联系,并在联系中掌握特殊到一般,分式的值为零,分式的意义的学习。如此以“一般到特殊”的思想方法串联起三个知识点的学习,让学习有条理、有依据。这种前后关联、横向连接的学习方式是把知识网络化、结构化的重要手段,也是深度学习的重要特征。
(4)迁移运用新知,提升问题解决能力
本课从多个角度赋予分式实际情境,层层递进。比如设计一个情境,使答案为
(对于学生的不同回答给予肯定与鼓励)。因为学习一个新的概念,必须要通过具体的情境解释,才能真正地理解它,才能建立起对应的数学模型。再如,以盐水为情境,提出现有盐水ag,盐水中溶解了bg盐,后加入mg盐,你能发现分式的一个性质吗?这样设计的目的是让学生初步理解简单分式的实际意义,为后续学习作铺垫。获得新知识后,能在新情境下灵活应用,实现知识的迁移,是检验深度学习的重要标志。这个环节,通过实际情境抽象数学问题,也是向学生渗透“建模”的数学思想。
2.深度学习是培养学科核心素养的有效途径
以运算能力为例,学生通过记忆运算法则、重复大量练习等浅层学习也可以提高运算能力,但却缺乏对算理的真正理解和掌握,学生很难真正融会贯通,随着时间的推移,遗忘现象严重,运算能力也必将逐步降低。如果教师采用深度学习方式,通过创设情境,组织适合的学习活动,去引导学生理解运算的法则,在解决问题的过程中建构运算体系,从而理解数系扩大后运算法则的通用性,才能真正提高运算能力。所以要让数学核心素养在课堂上落地生根,深度学习是必然选择,也是课堂改革的终极目标。
深度教学就是一场师生在课堂上深度对话的教学,数学课堂需要深度教学,学生的素养也需要在深度学习中得以提升。要让学生在数学学习的过程中,进行深度思考,抓住数学的本质,对数学知识的产生和形成过程有深刻理解并能内化为个人经验,进而迁移解决实际问题,形成学习的基本能力,逐步形成核心素养。