Black-Scholes看涨期权定价公式
1997年诺贝尔经济学奖揭晓,莫顿和舒尔茨因为研究期权定价方法而获奖。[1]
本章所要介绍的布莱克-舒尔茨期权定价模型(Black-Scholes Option Pricing Model)简称B-S模型,是期权教材中最重要的部分。B-S模型被用来计算理论上期权的到期前价值。该定价模型是由两位美国经济学家费雪·布莱克(Fischer Black)及麦伦·舒尔茨(Myron Scholes)于1973年所提出。此一公式的推出,奠定了之后全球金融衍生工具快速发展的基础。舒尔茨更因此获得1997年的诺贝尔经济学奖。[2]不只是学术界,甚至实务界也常使用B-S模型来作为期权理论价格的衡量标准。非常巧合的是,全世界最早的期权交易所——芝加哥期权交易所(CBOE),也是在1973年开始交易股票期权。
期权的价格也称为期权费,那么买方需要支付多少期权费,来取得未来的报酬权利,才算合理? 卖方需要收取多少期权费,来弥补其未来可能的支出义务,才算公平呢? 这其中就牵涉看涨期权、看跌期权的合理价格的计算。B-S公式便是用来定价看涨期权与看跌期权的理论价格。
由第三章我们知道,影响期权价格的因素有目标股价、执行价格、期满日、股价报酬波动性、无风险利率等,给定这些变量,Black-Scholes两人推导出看涨期权合理价格公式如下:[3]
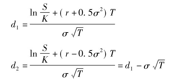
C=S·N(d1)-K(1+r)-TN(d2) (5-1)
其中: C: 看涨期权目前理论价值
S: 目前的股价
K: 执行价格
r: 无风险利率(以年为单位)
T: 期满日的长短(以年为单位)
σ: 股价报酬波动率(以年为单位)
ln: 自然对数

N(d1)为标准常态分布(standard normal distribution)的累积概率密度函数(cumulative density function),此概率函数代表一个标准常态分布(以0为平均数,1为标准差)的随机变量小于d1累积的概率,如图5-1所示。d1、d2是将变量转换成标准常态分布的变量。
公式5-1看似复杂,其实可以换个角度来看。看涨期权的价值可看成未来预期看涨期权净收益的折现。公式第1项SN(d1)即为预期未来收入的折现,而第2项K(1+r)-TN(d2)即为未来预期支出的折现。收入减去支出的折现即为看涨期权的现值。
因此,我们只要知道目前股价及期权的执行价格、期满日、股价报酬的波动性、无风险利率,就可以根据公式5-1求出理论的看涨期权价值。以下将举例说明B-S公式的使用。
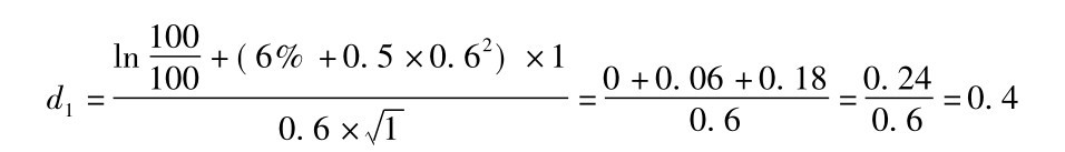
【例题1】 假设中国石油目前股价为100元,那么执行价格为100元、到期期限为1年的看涨期权的理论价格为多少(假设中国石油股价年报酬波动性为60%,无风险利率为6%)?
解: 根据上述资料,参考公式5-1的定义可知S=100,K=100,r=6%,T=1,σ=60%。
步骤1: 先求出d1

图5-1 标准常态概率分配图
说明: 图5-1表示标准常态(以0为平均数,1为标准差)的概率分布图,套色区域的面积表示标准常态变量小于d1的概率总和,即累积概率N(d1)。

步骤2: 求N(d1)
N(d1)可由统计标准累积概率表查到,另外也可以在Excel的NORMSDIST指令得到。
N(d1) =N(0.4) =0.655
步骤3: 求d2

步骤4: 求N(d2)
查表得
N(d2) =N( -0.2) =0.421
步骤5: 求出看涨期权价值
看涨期权合理价格为:
S·N(d1)-K(1+r)-T·N(d2)=100×0.655-100(1+0.06)-1×0.421=25.78
也就是根据所给定的资料,1年期的中国石油看涨期权目前理论价格是25.78元。
另外,由本书所附的软件,给定变量值,也可以马上求出看涨期权的价值。[4]如果市价(假设为20元)低于理论价格,那么投机者便可从市场上买入看涨期权,以获取低估的利润。由于此买入的行动将会使看涨期权的需求增加,而使看涨期权价格上升,逐渐达到理论价格。反之,如果市价(假设为28元)高于理论价格,那么就可以卖空看涨期权以获取利润。因为卖空看涨期权会使看涨期权的供给增加而使价格下降,所以看涨期权将会逐渐回到理论价格。