股指期权定价公式
在第五章介绍B-S期权定价公式时提到,在不知道股利确实发放日期的情形下,可以假设为连续股利发放。在连续股利的情形下,只要将B-S公式中股价再乘上股利率的折现即可。由于股指一般包含数十种,甚至数百种股票,所以一般将股利的发放视为连续股利。因此,第五章介绍的在连续股利下的B-S公式定价模型,便可套用到指数期权的定价上。
一、指数看涨期权定价公式
为了便于讨论,从本章起将前几章的简单复利改为连续复利,亦即以e-r T代替前面的(1+r)-T,以便和大多数的书籍一致。
如果采用连续股利率的公式,则B-S指数期权公式将变为:
C=Se-δT·N(d1)-Ke-r TN(d2) (7-1)

δ为股利率
S为股指[4]
公式7-1和公式5-1的B-S基本公式很类似,只是以Se-δT代替标准公式的股价S。因此只要知道股指、股利率、股指波动率、执行价格、到期期限、无风险利率,便可代入公式7-1求出股指认购权证的合理价格,以下举例说明公式的用法。
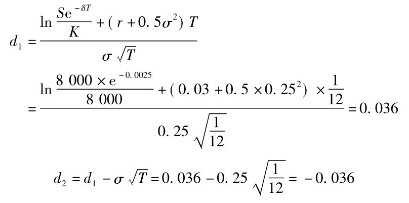
【例题2】 假设某股指目前为8000点,求到期期限为1个月的股指看涨期权理论价格(假设无风险利率为3%,股指波动率为25%,现金股利率为3%)。
解:根据以上资料可知,S=8000,K=8000,r=3%,δ=3%,T=,σ=25%,则:

所以
N(d1) =N(0.036) =0.514
N(d2) =N( -0.036) =0.486
股指看涨期权理论价格=8000×e-0.0025×0.514-8000×e-0.0025×0.486=229(元)
读者也可利用本书所附的软件进入股指期权选项来计算看涨期权价值,但是台指期权因为和台指期货连动性较高,所以公式需要将现货改为期货。[5]
二、指数看涨期权的对冲比率
指数看涨期权的对冲比率为N(d1)e-δT。由第五章可知股票期权的对冲比率delta为看涨期权对股价的一阶导数=N(d1),那么指数期权的对冲比率是否仍是N(d1)呢? 根据定义,对冲比率是看涨期权价格对股价的一阶导数,则指数看涨期权的对冲比率delta应为公式7-1对S的一阶导数,即
=N(d1)e-δT,而非N(d1)。
三、股指的看跌看涨期权平价关系
在第四章介绍了股票期权的看跌看涨期权平价关系,此理论说明同一目标股票,条件均相同的看涨期权与看跌期权,两者的相对价格应该等于股价减去执行价格的折现,也就是: C-P=S-Ke-r T。另外,我们也提到假设股票在发放连续股利下,看跌看涨期权平价关系可以修正为C-P=Se-δT-Ke-r T(参见第四章第五节)。因此在股指期权下,也可运用上述公式,所以股指看涨期权看跌期权等价公式变为:
C-P=Se-δT-Ke-r T (7-2)
所不同的是在公式7-2中,如果目标资产是股票,则S代表股价,δ代表个别股票的股利率; 如果是股指,那么S代表股指,而δ代表指数的平均股利率。[6]
此外,在第五章第二节所介绍的B-S公式中的一些含义,对指数期权大部分都能适用,为了节省篇幅,本章不再重复叙述,读者可以参阅第五章第二节。另外,在第四章提过有关股票期权的看跌看涨期权平价关系公式的含义及产品复制等功能,对指数期权也同样适用,读者可自行参阅。至于股指期权的价格上下限、交易策略、定价公式的特性等和股票期权类似,读者可以参阅第三章及第五、六章相关主题。