台指期权市场

第五节 台指期权市场

2001年12月24日圣诞节前夕,我国台湾期货交易所推出台指期权,其交易目标为台湾地区证券交易所发行的加权股指。台指期权在经过1年多的交易后,在2003年3月交易量已大幅超越已有5年历史的台指期货交易量。2005年每天平均交易量已超过30万口,唯近几年呈现停滞的状态。2008年平均日成交量为37万口,同年台指期权的交易量已经挤进全球指数期权10名以内。台湾地区指数期权市场还包括金融、电子、非金融电子、MSCI指数等指数期权,但交易量都不大。

台指期权的履约型态为欧式。契约乘数为指数每点新台币50元。到期月份为交易当月起连续3个月份,另加上3月、6月、9月、12月中2个接续的季月,但是以近月交易量最大; 而执行价格间距方面,3个连续近月契约为100点,而接续的2个季月契约为200点。交易时间为营业日上午8:45到下午1:45,比股票交易早15分开盘、晚15分收盘; 而最后交易日为各该契约交割月份第三个星期三。

台指期权的交易比重中以自然人所占的比重最高,目前占约47%,其次为期货自营商的45%,其余的合占8%。因此,台指期权可以说是个人或期货自营商平分秋色及对作的局面。这和台指期货自然人占的70%,及期货自营商的20%,外资的10%有所不同。

一、台指期权的看跌看涨期权平价关系

台指期权对应的目标资产是台股现货的加权指数,但是,其实它和台指期货的连动优于和现货指数的连动。因此,不论在套用看跌看涨期权平价关系公式,或B-S公式求期权价值,或反求隐含波动率时都应该采用台指期货代替台指现货。台指期权也比较符合看涨期权看跌期权期货等价理论(put-call futures parity),公式如下:

C-P=(F-K)(1+r)-T (7-5)

换言之,台指期权价格和台指期货的连动比较密切。这主要是因为台指现货指数是无法交易的,期货商在卖出台指期权时,无法藉由买卖现货指数来对冲,而是借着买卖台指期货来对冲。因此,台指期权的价格和台指期货的连动较大。如果期货价格与现货价格乖离,就会发生看涨期权看跌期权相对价格不等于现货减执行价格的情形。

二、台指期权的定价公式

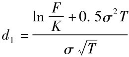
既然台指期权的价格和台指期货连动,因此前述公式7-1股指期权的定价公式就要改成期货期权的定价公式。台指看涨期权公式如下:[9]

C=Fe-r TN(d1)-Ke-r TN(d2) (7-6)

其中,F为期货价格,,d2=d1。其实此公式只是第五章B-S公式中的股价S被期货的折现Fe-r T取代而已,也可以将公式7-1中股利率δ代入和利率相同值,便可以得到同样结果。

三、台指期权的看跌期权看涨期权比率(put/call ratio)

就像第五章提到的期权市场价格,反导出来的隐含波动率指数VIX,可作为大盘走势及未来股市波动率的指标。实务上,CBOE将每天看跌期权的交易量除以看涨期权的交易量的比值作为投资者的参考,此比率称为put/call ratio。一般而言,put/call ratio愈高,意味着交易看跌期权的量愈多,表示对冲的需求增加,反映出未来盘势有走弱的趋向。在台湾地区,put/call ratio常常以看跌期权及看涨期权未平仓量来取代交易量。未平仓量是指流通在外、未被冲销的合约数。此比率愈高,表示看跌期权新增或留单的口数越多,意味着现货投资者增加对冲的部位,同时反映出大盘可能有下跌的趋势; 反之可能上涨。[10]

动动脑

利率对台指看涨期权的影响是正还是负?