习 题

习 题

1. 如果你预期股价在未来一周内可能大涨或大跌,那么你会采取什么样的期权交易策略?

2. 请搭配股指期货及股指期权,形成一种证券组合,并说明这个投资策略的原因及可能损益。

3. 假设外汇看涨期权为美元兑人民币,亦即可用5元人民币买入1美元; 换句话说,你有权利以5∶ 1的汇率卖出人民币而收到美元,因此就卖出人民币而言,是否也是一种看跌期权呢? 为什么?


[1] 2001年,S&P 100也有欧式契约的出现,但交易量不大。

[2] 另外的原因可能是欧式的指数期权可以和S&P 500指数期货(index futures)相互对冲,欧式期权可以避免提前履约的问题。

[3] 可参见第六章第五节“合成策略”。

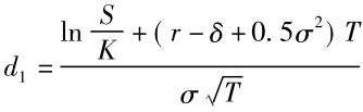
[4]有些教科书将d1写成,这是因为公式7-1中d1的ln(Se-δT)可改写为In S-δT。

[5] 读者可利用所附软件选取指数期权,只要将资产代入台指期货,而股利率和利率取一样大小,就可评估台指期权。或直接选取期货期权画面也可以。

[6] 1987年10月19日股票大崩盘及往后的一个星期,S&P 100及S&P 500股价指数期权即严重违反看跌看涨期权平价关系,即C-P<Se-δT-Ke-r T; 参见: 陈威光. 股票指数期权看涨期权看跌期权之价格实证研究. 成功大学学报,1994年: 159-177. 台湾地区的台指期权大部分时间也违反等价理论,此部分将留到本章第五节讨论。

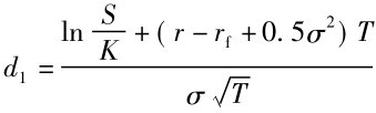
[7] 有些教科书将d1写成另一种形式:,因为公式7-4的ln Se-rf T=ln S-rfT。

[8] 在实务上,柜台外汇期权的报价是以汇率的波动率volatility来报价,譬如3个月期买入报价为vol8%,卖出报价为vol8.5%。

[9] 参见第四章第五节“看跌看涨期权平价关系公式的延伸”及第九章第二节相关内容。

[10] 但是此比率与大盘的走势也不见得一定如此,还是应该综合许多因素加以考虑。

[11] 大华证券为台湾地区的综合性证券商,于2002年11月8日加入中华开发金控集团,成为中华开发金融控股公司百分之百持股的子公司,主要业务包括股票债券之经纪、承销、自营、与新金融商品、股票代理及个人理财等各项证券相关业务。

[12] 台湾地区的宝来金融集团以1988年成立的宝来证券为主体并向外拓展,目前旗下成员还包括宝来投信、宝来曼氏期货等关系企业,1998年开办网络下单业务并推出台湾地区第一个结合股、期、权的交易平台,之后在产品创新方面一直居台湾地区领先地位。

[13] 台湾联电集团总部设在台湾地区,集团旗下有5家晶圆代工厂,是全球半导体投资第四大企业,仅次于英特尔、摩托罗拉及西门子。

[14] 行使比例为认购权证转换成股票的权利,一般为1∶ 1,即1股权证可以换1股股票。目前国内的权证行使比例都低于1,很多为0.1。

[15] 参见: 陈威光. 认购权证的定价. 元大期货,1997.

[16] 参见陈威光. 涨跌幅限制下认购权证之定价. 研讨会论文,1998.