股价指数期货的定价
在第九章我们介绍了期货的持有成本理论,了解期货价格应该等于现货价格加上持有成本。持有成本理论可以运用于各种期货产品的定价,只需要针对不同目标资产的特性加以修正即可。本节将利用持有成本理论,来定价股价指数期货(简称股指期货)。
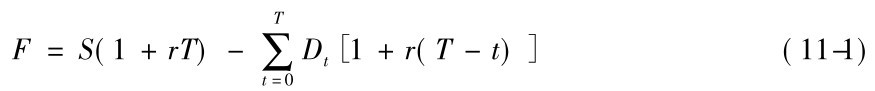
股价指数是由众多股票加权组合而成的,常见的股价指数如S&P 500指数(S&P 500 Index)、日经225股价指数(Nikkei 225 Index)、中国台湾加权股价指数等一般称为广基指数(broad-base index),亦即包括数百种以上的股票。股票一般都会有股利的分配,收到股利将减少持有现货的成本,因此,买入股价指数的持有成本就会等于股价指数乘以利率,再减掉所发放的股利。所以,根据持有成本理论,还有T期到期的股价指数期货理论价格F,就可以修改成:
![T F=S(1+r T) -∑Dt[1+r(T-t)] (11-1) t=0](https://www.daowen.com/attached/book/image/202721005/2a223641-c4f3-4db3-a034-56cd0ca6e949.jpg)
其中: Dt表示在时点t有Dt元的股利收入,[1+r(T-t)]为在t时点1元在期满日的本利和。
但是,由于股价指数牵涉众多的股票,譬如S&P 500股价指数就是由500多种股票组成,要计算每种股票发放股利的时间及金额似乎较复杂、费时。一般我们采用股利率(dividend yield)的形式来表示。因此,股价指数期货的价格公式就可简单地写成:
F=S[1+(r-δ)T] (11-2)
以连续复利方式表示,公式11-2可改写成:
F=Se(r-δ)T (11-3)
其中: r代表年利率,δ代表连续复利形式的年股利率,T是表示期货到期期限。
以下举例说明公式11-2的应用。
【例题1】 假设股指数现货是8000点,无风险利率是6%,股指数股利率是4%,那么,3个月以后到期的股指期货目前的理论价格是多少点呢?
解: 根据公式11-2,F=S[1+(r-δ)T]
则 F =8000[1+(6%-4%)1/4]=8000×1.005=8040
所以,3个月以后股指期货的理论价格应该是8040点。
一般指数期货的契约价值(俗称1手的价值),会等于期货的价格再乘以一个乘数,譬如S&P 500指数期货价格是乘以250[1],大阪交易所的日经225指数期货是乘以1000,台指期货是乘以200,小型台指期货乘以50,沪深300指数期货则乘以300。