期权的VAR: 部分评价法
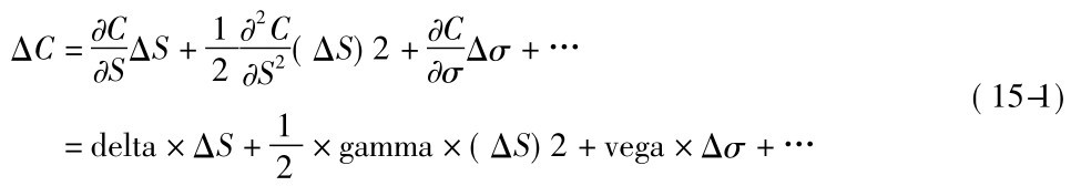
前面介绍了期权完全评价法的风险值估算,这一节将介绍更常用的部分评价法。部分评价法是利用第十一章介绍过的期权敏感度分析,求出单独变量对期权价格的影响,进而来求算期权的变动量。我们可以利用泰勒展开式的概念,求出股价变动量、波动率变动对期权的影响,进而加总求出期权价值变动的近似值。部分评价法一般又分为delta法、delta-gamma法,以及加入波动率的vega。以下将举例说明delta及delta-gamma,另外vega VAR则留到下一节。
部分评价法是利用期权对股价及波动率的一阶导数或二阶导数来求得。以看涨期权为例,看涨期权对股价S及波动率σ的泰勒展开式:

其中,delta是股价变动对看涨期权的影响,gamma是股价变动对delta的影响,vega是波动率变动对看涨期权的影响。因此,部分评价法可用delta法或delta-gamma法及加入vega考虑,在此分别说明如下:
一、delta法
delta法又称delta-normal法。其概念是假设期权价值的变动和股价的变动呈线性关系。因此期权的delta VAR可表示如下:
delta VAR=C*×Q=delta×S*×Q (15-2)
其中,ΔS*为临界股价变动,Q为股数,因为看涨期权价格变动ΔC为负,所以前面加负号,VAR取正值。
【例题3】 假设工商银行看涨期权delta=0.65,请利用delta法求出买入工商银行看涨期权10张,1天的VAR(工商银行股价为100元,每天报酬波动率为2.264%)。
解: 由例题3得知临界报酬率为-1.65σ=-1.65×2.264%=-3.74%,则临界股价变动量为:
ΔS*=-3.74%×100=-3.74
因此delta VAR=-delta×ΔS*×Q=0.65×3.74×10000=24310元。
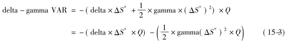
二、delta-gamma法
在介绍delta中立对冲时我们提到,由于期权的价格和股价并非呈直线的关系,因此股价变动较大时,delta法会产生大的误差,所以需要再考虑gamma,则:

公式15-3第一项为delta VAR,第二项即是gamma VAR。
对看涨期权买方而言,其损失的风险在于股票下跌,由于股票下跌时delta也会下跌,所以delta法会高估买方的VAR,因此要扣除gamma的VAR; 对看涨期权卖方而言,由于损失的风险在于股票上涨,然而股票上涨,delta应该也要上涨,因此delta法会低估VAR,所以要加上gamma的VAR。对看跌期权买方而言,当股票上涨有delta风险,但delta的绝对值会变小,所以也要扣除gamma的VAR; 反之,看跌期权卖方则要加上gamma的VAR。总之,期权买方应扣除gamma的VAR,而期权卖方应加入gamma的VAR。
【例题4】 在例题3中,如果工商银行的gamma为0.02,请以delta-gamma法,分别求出买方与卖方的10张工商银行看涨期权1天95%的VAR。
解: 买方的VAR =0.65×3.74×10000-0.5×0.02×(3.74) ×10000=24310-1400=22910
卖方的VAR =0.65×3.74×10000+0.5×0.02×(3.74) ×10000=24310+1400=25710
部分评价法的优点是容易计算。对于相同目标资产、不同执行价格的期权,其delta及gamma是可以加总的,因此可以一起计算VAR,不像完全评价法需要一个一个算出期权价格。但是,部分评价法的缺点是它也只是一个近似值。此外,部分评价法并没有把时间的因素考虑进去。严格来说,如果求算VAR的天数较长(譬如10天),那么随期满日缩短而减少的价值便不可忽略。另外,波动率变动的风险对期权而言也是很重要的,这将在下一节讨论。
动动脑
期权买方的VAR较大还是卖方的VAR较大? 为什么?