Black-Scholes公式中变量的选取
由公式5-1及公式5-3可了解,只要知道目标股票的价格、执行价格、看涨期权或看跌期权到期的期限、无风险利率及股票的波动性,就能从计算器或计算机中很快求出看涨期权或看跌期权理论的价值。
一般而言,股价、执行价格均为已知,比较容易得到,而到期期限、无风险利率及股价报酬的波动性的估算等则稍为复杂,以下将分别加以说明。
一、股价
股价一般都有交易价格,因此只需代入当时的交易价格即可; 至于股价指数虽然没有交易价格,但是证券交易所的股价指数还是随时有更新的数据。不过就台指期权而言,虽然对应的目标是台指现货指数,但是因为现货指数无法买卖,一般期货商在卖出台指期权时,是用台指期货来对冲,因此建议求算台指期权价值时,以台指期货代替台指现货。[8]
二、执行价格
执行价格一般是不会改变的,但是台湾地区的认购权证在发放现金股利及股票股利时均会调整执行价格。
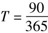
三、到期期限
一般到期期限用年来表示,例如还有3个月到期的期权,可以用表示。有些文献会使用还有多少交易日(trading days)才到期来计算。但为简单起见,也可加入没有交易的假日(如星期六、星期日),因此分母就用365天,亦即使用与计算利息一致的方式来求算到期期限。[9]本书所附的定价软件为了方便用户,改以还有多少天到期作为到期期限,软件程序会自行换算成年。
四、无风险利率
无风险利率(risk-free rate)是指没有任何违约风险的资产的收益率。政府所发行的长期国债或短期国债的利率,均可视为无风险利率。由于期权的期间大多小于1年,所以无风险利率一般可用与期权到期期限相同或接近的短期国债利率来表示。但是在台湾地区,由于短期国债交易量不大,不能够反映出市场利率水平,一般可用商业本票利率或债券附买回(RP)或附卖回(RS)利率代替。和存放款利率一样,一般均习惯用年利率表示。
五、股价波动率的估算
在B-S公司的五个变量中,比较有争议的是股价报酬波动率的估计。股价的波动率,代表股价报酬不确定的大小程度或股价变动的大小程度。假设A股票的预期报酬为20%,年波动率为40%,表示1年后A股票有极大的机会实际报酬会介于20% ±40%之间。换句话说,1年后的报酬可能会介于上涨60%到下跌20%之间。如果B股票的波动率为60%,则表示B股票未来上涨或下跌的幅度将会比A股票来得大。
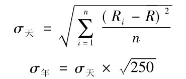
期权公式中的股价报酬波动率,是指从现在一直到期权期满日,这中间股价的变动大小程度。由于未来无法预估,因此一般使用过去历史的股价数据来预估。股价报酬波动率的估计一般采用过去3个月、6个月或1年股价的报酬率,或与期权到期期限相同天数的过去历史股价,再求其报酬的标准差,得到日报酬的标准差。日标准差再乘以(1年假设有250个交易日),而得到年标准差,其公式如下:

其中: σ天: 每天股价报酬的标准差
σ年: 股价报酬年化的标准差
Ri:每日股价报酬率,等于或等于
,其中Si为第i天收盘价
: 每日平均股价报酬率
n: n天样本
由股价报酬资料所求出来的波动率,一般称为历史波动率(historical volatility)或历史标准差(historical standard deviation)。根据研究发现,台湾地区个别股票历史波动率在20%~40%之间,视个股及时间而异。台湾加权股价指数最近5年年平均标准差在25%左右。
动动脑
你觉得电子股的波动率较大还是金融股的波动率?