蒙特卡罗法
第三种方法称为蒙特卡罗模拟法(Monte Carlo Simulation)。蒙特卡罗模拟法是利用模拟明天可能的股价、汇率、利率或证券组合可能的价值从而计算VAR。
一、单一资产VAR
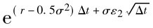
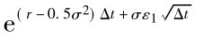
步骤1: 假设股价的变动过程如以下公式所示:

在此,Δt可表示为1天,而r、σ均化成以1天为单位,其中S为今天股价,S+1表示明天可能股价,σ为每天的股价报酬标准差。
步骤2: 抽出标准正态随机数ε,利用公式14-11求出明天的可能股价S+1。
步骤3: 重复N次,产生N个明天可能的股价S+1。
步骤4: 将N个S+1由小排到大。
步骤5: 找出最小5%的S+1设为S*+1。
步骤6: 计算VAR

其中,Q是目前的股数。
【例题5】 同例题1,利用蒙特卡罗模拟法求出中国石油1天95%下的VAR。
解: 我们已知每天报酬标准差σ为2.264%,假设年利率为6%。根据公式14-11模拟出1000个明天可能的鸿海股价。将1000个可能股价依大小排序,找出倒数第50个股价,假设为96元,则VAR为:

二、两个资产VAR
如果证券组合包括两支股票,则其步骤跟单一股票的做法类似,但是必须考虑两支股票的相关性,因此在进行第二步骤抽出标准正态随机数时,必须加入两者的相关系数。
步骤1: 求出两支股票的报酬标准差σ1、σ2及δ与相关系数ρ。
步骤2: 股价计算公式修改为:
股票A SA+1=SA× (14-13)
股票B SB+1=SB×
其中,SA、SB分别为今天A、B股票的股价。SA+1、SB+1表示明天的股价。
而

其中x1、x2为标准正态随机数抽样,ρ为两支股票的相关系数。
步骤3: 求出100个Vi=QA×SA+1+QB×SB+1,其中QA、QB为目前持有A、B股票的股数,并将Vi排序,求出最小第五个V*,则VAR=(V-V*),而V为今天的证券组合价值。
以上是两支股票的情形,如果是含3种以上股票的证券组合,则蒙特卡罗模拟法抽样就会变得比较复杂,因为必须考虑到随机数间的相关系数,此时也可以使用拔靴法[7]。拔靴法基本上是利用过去股价的报酬为样本集,不断抽出可能的报酬,由于使用的样本集数据已经包含个股间的相关系数,因此可以解决蒙特卡罗模拟法抽样的复杂情形。
蒙特卡罗模拟法的优点是相当有弹性。蒙特卡罗模拟法中,股价或目标资产产生的方式不一定是正态分布,也可以是二项分布或股价突然上涨、下跌的Jump分配。如果是仿真利率,则有不同利率模型可作为利率的产生模型。另外,在处理利率期权或新奇期权等方面,蒙特卡罗模拟法也相当有用。但是蒙特卡罗模拟法的缺点是常需要模拟千次甚至万次以上,比较耗时,尤其证券组合的资产越多所需的时间就相当可观了。