互换与债券的VAR求法
利率互换是买方支付固定利率并收取浮动利率的合约,可以看成是买入浮动利率债券,加上卖出固定利率的债券。因此,利率的变动会影响互换的价格。债券的价格同样也受到利率的影响,本节只讨论债券VAR的估算,至于利率互换VAR的计算也很类似,限于篇幅,在此不讨论。债券的VAR求法可以如同股票一样,采用债券市场价格来求,或将债券看成是利率的金融衍生工具而利用完全评价法,将到期收益率的变动代入债券评价公式而求出临界债券价格,再和购入的价格相比较。另外,也可以和期权的delta-gamma法一样采用部分评价法。只不过在求债券的VAR中我们是以到期期限(duration)代替上一节期权的delta,而以凸性(convexity)代替期权的gamma。在此分别说明如下:
一、以债券的价格求算VAR
如同前面介绍单一股票VAR的求法一样,我们也可以利用债券过去的价格求算VAR。但是和股票不一样的是,债券在接近期满日时,债券价格会逐渐收敛到面值,因而波动会减小。再者,对于刚上市不久的新债券(如同前面提到刚上市的期货契约一样),由于历史价格不多,因此无法像股票一样求出VAR。另外一个方式是仿照上一节期权的求法,先求出债券到期收益率的变化,再代入债券的完全评价法或部分评价法。
二、以完全评价法求算VAR
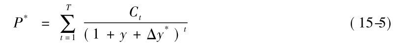
先求出债券到期收益率y(yield)的临界变动量y*,然后代入以下债券的评价公式求出债券的临界价格:

则

其中: P为今天债券价格,P*为临界债券价格,C为支付的利息或本金,t为每一次支付的时间,T为到期期限,y为债券到期收益率,V为投资金额。
三、以部分评价法求VAR
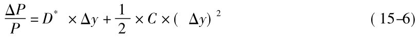
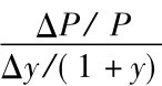
债券的久期(duration)是债券价格与到期收益率间的切线斜率,而凸性(convexity)是指此切线斜率因为到期收益率变动而产生的变动大小。债券的久期很像期权的delta,凸性很像期权的gamma。在期权中,我们用delta及gamma求算VAR。同样地,我们也利用久期加上凸性来求算VAR。因此,利用泰勒展开式,每1元债券价格的变动可以表示成[2]:

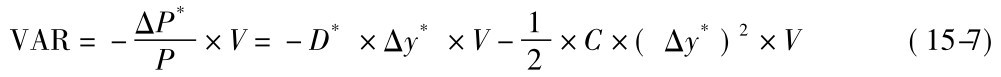
那么根据公式15-6,便可以得到债券的VAR:

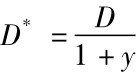
其中D*为修正的久期(modifiedduration),等于,C为凸性。原本的久期D的定义为
,修正的久期
,代表投资者买入债券需要多久才能收回本金及利息。也可解释为利率变动1单位,引起债券价格变动的百分比。譬如下例中的D*=3.4489表示利率每变动1%,则债券价格将变动3.4489%。因为债券价格和到期收益率的关系不是线性的,因此有必要加入凸性,以捕捉非线性的部分,但一般而言,凸性的影响不大。
因为到期收益率曲线为凸向原点的曲线,而债券买方的风险在于利率的上涨,当利率上涨使债券价格下跌时,曲线的斜率会变得较平坦,也就是风险会比用D*求出来的VAR要低一点。因此,第二项的VAR变成负项; 反之,债券卖方的风险在于利率下跌,当利率下跌时,价格上涨,此时到期收益率曲线的斜率变得较陡,因此风险变大,第二项的VAR变成加项。我们发现加入凸性的VAR和前面加入gamma的VAR一样,都是卖方VAR要增加,买方VAR会减少。
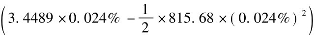
【例题7】 例如你买入100万元债券,发行日2008年7月20日,其票面利率2%,当天到期收益率0.86%,价格104.829,D*=3.4489,凸性C=815.68。利用部分评价法求95%、1天VAR。
解: 利用过去125天到期收益率数据得到临界到期收益率变动量y*=0.024%。
1. 部分评价法: 利用公式15-6:
债券的VAR =×100万≌808元
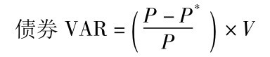
2. 完全评价法: 利用公式15-5求得债券临界价格为104.745,所以债券的VAR=×100万=800元
由上面数据可以发现,债券的VAR比起股票、期货或期权小很多,一般只有本金的0.1%~0.5%,和股票、期货的3%、4%或期权的30%、40%差异相当大。