第五节 标准差法
标准差法(standard derivative method)也称为方差—协方差法(Variance-covariance method)或delta常态法(delta normal method)。因为求算VAR需要用到资产报酬的标准差或变异数以及资产间的共变异数,因此有此称呼。标准差法主要是假设目标资产的报酬是呈现正态分布,再求出过去股价的波动率,并假设未来的波动率也等于过去的波动率,利用统计的概念求出风险值。
一、单一资产的VAR
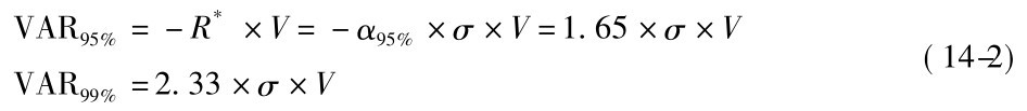
单一股票的VAR求法是,首先求出此股票过去每天报酬的标准差,再以95%的置信水平,取1.65个标准差,或在99%置信水平下,取2.33个标准差,而求得临界报酬率R*,再乘以V来求出VAR。

其中,R*为临界股票报酬率,σ为每天股票报酬率的标准差,V为股票目前的总价值, VAR取正值,所以加上负号。
【例题3】 以标准差法求鸿海95%下1天的VAR。
解: 利用例题1的100个鸿海历史股价报酬率,求出每天报酬率的标准差σ为2.264%,则95%的一天的VAR=1.65×2.264%×1000000=37360(元)。
另外,如果要换算成99%的VAR,只要将95%下的VAR乘以2.33再除以1.65即可,如上面的例子,99%VAR=37356×2.33/1.65=52750。[4]
二、两个资产的VAR
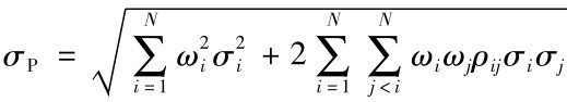
假设证券组合内有A、B两支股票,则证券组合95%的VAR可由下列公式14-3求得:
VARP=-α95%×σP×V=1.65×σP×V (14-3)
其中: V表示证券组合目前的价值,σP表示证券组合的波动率,而

其中: w A、w B分别为股票A及B价值占证券组合价值的权数,ρ为报酬的相关系数。权数在买入部位时为正,卖出部位时为负。
当两支股票个别的VAR已知时,也可利用公式14-5求出证券组合的VARP:

其中: VARA、VARB分别表示股票A及B的VAR。
以下举例说明标准差法下,两种股票证券组合VAR的计算方法。
【例题4】 同例题3,求此证券组合在标准差法下95%、1天的VAR。
解: 解法一:
由历史资料可知,鸿海的每日股价报酬波动率为2.264%,中国石油的每日股价报酬波动率为2.65%,鸿海与中国石油的相关系数为0.852,且两支股票个别权重分别为:

代入公式14-4,可求出证券组合每天报酬的波动率为:

代回公式14-3,求出证券组合的VAR为:
VARP=1.65×0.0231×1500000=57170(元)
解法二:
先利用单一股票的标准差法,计算出中国石油的95%、1天的VAR=1.65× 0.0265×500000=21860元,由例题2已求出鸿海95%、1天的VAR=37360元,另外利用鸿海、中国石油100天的历史报酬,求出其相关系数为0.852,将以上数据直接代入公式14-5,即可求出证券组合的VAR值:[5]

其实使用公式14-5会较公式14-3来得方便,并不需考虑权重的计算。另外我们也发现,证券组合的VAR会比两支股票单独VAR的加总来得小,这是因为这两支股票间相关系数小于1,所以有分散风险的效果。相关系数越低则分散风险的效果越大,证券组合的VAR也将越小。
三、两种以上资产的VAR
如果证券组合包含两支以上股票或两种以上资产,则计算VAR的原理仍然是相同的。只是在N支股票的证券组合中,需要求出N支股票报酬的标准差,同时也需求出N支股票彼此间的相关系数。

其中,VARi为第i支股票的风险值,ρij为第i、j支股票报酬的相关系数。或也可由
VARP=1.65×σP×V (14-7)
而,ωi为第i支股票价值占证券组合价值的权重。
动动脑
如果证券组合包括买入一支股票(譬如中国石油),另外再卖空一支股票(譬如中国移动),那么公式14-4中的权数w A、w B、相关系数等,应该如何改变呢?
四、估算VAR的时间大于1天时
之前所讨论的都是计算1天的VAR,如果求出1天的VAR以后,想要了解10天的VAR该如何计算? 是否需要重新计算呢? 答案是不需要。因为我们知道假设1天的标准差为σ,则10天的标准差应该为,因此在标准差法下,10天的VAR,可以写成1天的VAR,再乘以
,即:

或写成通式

因此例题3中,如果要求10天的VAR便可得到37356×=118130元。但要注意的是,公式14-8只适用于线性报酬的证券组合。当考虑到非线性报酬,譬如期权时,上式便不能通用。另外历史模拟法及蒙特卡罗模拟法也不能使用以上公式。
五、考虑预期报酬率不是零的情况
VAR的定义为95%(或99%)置信水平下的最大可能损失,一般是指绝对的损失量。譬如前面介绍的历史模拟法及蒙特卡罗模拟法,所求出来的VAR便是绝对损失。但在标准差法的VAR,却是相对损失量的概念。如果要计算绝对损失金额的VAR,便需要另外考虑股票或证券组合的预期报酬。如公式14-2中,我们并没有考虑股票的预期报酬率,也就是假设预期报酬率为0。摩根银行的风险计量法模型(Risk Metrics),也是假设预期报酬为0,因此相对损失量就等于绝对损失量。当然,在时间很短的情况下,譬如1天的期限,股票的预期报酬很小,因此可以视为0。此时相对损失就等于绝对损失。但是,当求算VAR的时间加长,譬如10天或1个月,或投资金额相当大,预期报酬便不可忽略。此时欲求算绝对损失VAR,公式便需稍加修正,也就是在求算临界报酬R*时需加入预期报酬μ,以求得绝对损失。[6]
R*=ασ+μ (14-9)
所以公式14-2的VAR应该修正为:
VAR95%=-R*×V=-(ασ+μ)×V (14-10)
假设σ=2%,则ασ=-1.65×2%=-3.3%,即原来相对损失为3.3%。如果预期报酬为μ=1%,此时绝对临界报酬率应该为-3.3%+1%=-2.3%。换句话说,在95%下求出实际绝对的损失为2.3%。因此,利用标准差法如果没有考虑到正的预期报酬率,则会高估预期的损失。换句话说,如果利用标准差法求VAR,那么求出来的VAR还需减去正的预期报酬,所以VAR会降低。
标准差法是比较容易计算的一种方法,只要知道资产的标准差及资产间的相关系数,就可以很快求出单一资产或证券组合的VAR。而且,前面也提过,如果要求不同的置信水平下的VAR或不同天期下的VAR都可以很快地转换。但是,标准差法的缺点是必须做统计的假设(一般是正态分布),无法捕捉肥尾(fat tail)的情形。另外,对于非线性损益的商品如期权、债券等,标准差法就有其所短了。
动动脑
一般市场上由于有涨跌幅限制,股价分布未遵循正态分布。你认为哪一种方法计算出来的VAR可能比较合理?