小 结
1. 2008年3月,“中华电信”宣布,由于新台币升值,公司的外汇期权交易估计账面损失为新台币40亿元,引起市场震撼。
2. 2008年9月,由于美国次贷风暴,导致美国几家大型投资银行相继破产或被收购,全球股市大跌、企业倒闭、失业率上升、经济衰退,这称为2008年全球金融海啸。
3. 1998年9月22日,长期资本管理公司(Long Term Capital Management,LTCM)因为亏损了将近40亿美元,由美国联邦储备理事会Fed出面召开银行团会议处理,最后由14家欧美银行出资35亿美元接管,引起金融市场极大的震撼。
4. 1995年2月,巴林银行因李森操作日经股价指数期货与期权亏损了将近14亿美元而宣告倒闭,在1995年3月由荷兰的荷兴银行买下。
5. 国际清算银行将金融风险分为五种,包括市场风险、信用风险、流动性风险、作业风险及法律风险。
6. 市场风险(market risk)或称价格风险(price risk),是指由于市场商品或契约的价格,或是价格的波动率变动所造成损失的风险。
7. 信用风险(credit risk)是指交易对手无法履行交易合约的义务,而导致的风险,又称违约风险。
8. 流动性风险(liquidity risk)可分为两种情形: (1)指现金准备不足,面对保证金追缴无法履行义务,被迫提前清算而造成损失的风险; (2)指市场交易量不足,无法以某一市价冲销某一部位而导致的损失。
9. 作业风险(operational risk)是由于信息不足或管理内部失控、人为错误导致损失的风险。
10. 法律风险(legal risk)是指交易契约未具备法律强制性,或契约法律文件有缺失,或因法令规定改变而导致的风险。
11. 风险值(VAR)是用来衡量个别金融商品,或某一证券组合在某一特定时间内(譬如1天),某一置信水平下(95%),由于价格变动所产生的最大损失。
12. VAR的计算方法一般分为三种,即历史模拟法、标准差法和蒙特卡罗模拟法。
13. 历史模拟法乃是利用过去资产价格,来推测未来可能的价格变动情形,进而求出VAR。
14. 标准差法主要是利用标准正态分布的概念,先求出此股票的变异数,再在95%置信水平下,取1.65个标准差,或99%置信水平下,取2.33个标准差,而求出VAR。
15. 蒙特卡罗模拟法是利用计算机仿真出未来可能的股价及报酬分布率和临界报酬率,进而求出VAR。
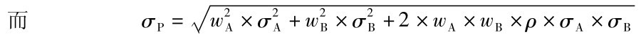
16. 当证券组合包括两支以上的股票或两种以上资产时,计算证券组合的VAR则需考虑股票和股票报酬率间的相关系数。
17. 证券组合内有A、B两支股票,则证券组合95%的VAR可由下列公式求得:
VARP=1.65×σP×V
其中,V表示证券组合目前的价值,σP表示证券组合的波动率,

其中,w A、w B分别为股票A及B价值占证券组合的权数,ρ为报酬的相关系数。
18. 当两支股票个别的VAR为已知时,可以利用下面的公式求出证券组合的VAR:
