B-S公式的推导
第五章简单介绍了B-S公式,本节将针对B-S公式的推导、风险中性推导B-S公式等做一简要介绍[1]。
一、B-S模型的主要概念
B-S模型的主要概念是假设有一包含股票及其看涨期权的证券组合,藉由不断调整适当的股票与看涨期权的比率,可使证券组合在短时间内达到无风险状态。因此,在无套利情形下,该证券组合应赚得无风险报酬。Black和Scholes的模型中,借着形成无风险证券组合(risk-free portfolio),得到看涨期权对股价及时间的偏微分方程式,另外再加上期满日看涨期权价值的边界条件,而得到看涨期权公式解。
二、B-S偏微分方程式的推导
B-S模型中,假设股价服从对数正态分布(log-normal distribution),亦即股价在取对数后服从正态分布。另外,股价服从几何布朗运动(Geometric Brownian Motion),以下列式子来表达:
ΔS=μSΔt+σSΔz (20-1)
其中: ΔS为股价的变动,μ为股价预期报酬率,Δt为极短的时间,σ为股价报酬的波动性,而变量z满足维纳过程(Wiener process),Δz为z的变动。
假设有一证券组合V,包含卖空一股看涨期权,买入α股的股票,所以证券组合价值V为:
V=-C+αS (20-2)
则短时间证券组合价值V的变动ΔV为:
ΔV=-ΔC+αΔS (20-3)
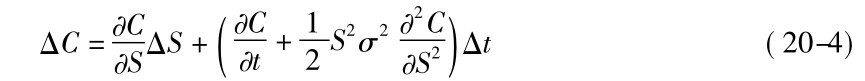
根据伊藤辅助定理(Ito's lemma),看涨期权在极短时间的变动ΔC可表示为:

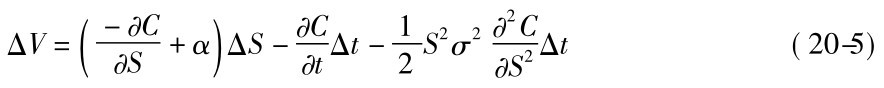
将公式20-4的ΔC代入公式20-3,并整理得:

如果令α=,则公式20-5将变为:

在公式20-6中,证券组合的变动ΔV只受时间变动Δt的影响,不受股价变动的影响,因此,证券组合V是一个无风险的证券组合。如果将此V元拿去购买无风险债券,则应该赚取无风险利息,所以短时间Δt所赚得的无风险利息为:

其中: r为无风险利率。公式20-6及公式20-7由于均是无风险证券组合所赚的报酬,所以应该相等,不然就有套利的机会。移项整理得到:

公式20-8即为著名的偏微分方程式(partial differential equation,PDE)。Black-Schole B-S应用上述偏微分方程式加上边界条件解出B-S的看涨期权公式。[2]
三、以风险中性推导B-S公式
Cox & Ross(1976)二人利用风险中性假设,也推导出和B-S相同的公式。风险中性是假设所有的投资者对风险均无偏好或嫌恶。风险中性(risk neutral)的假设具有下列两项特性: (1)所有证券的预期报酬均为无风险利率; (2)看涨期权或任何证券的价值可视为未来预期现金流量,以无风险利率折现所得到的折现值。
所以,目前看涨期权价值为未来到期预期看涨期权价值以无风险利率折现,以公式表示为:
C=e-r TE[max(ST-K,0)]
其中,ST表示到期股价。以连续形态来表示,则看涨期权的价值可表示为常见的积分型态:

其中: f(ST)为ST的概率密度函数。
再利用到期股价是遵循对数正态分布,以及微积分变量代换与标准累积概率的概念,从公式20-9第一项,可以推导出它等于SN(d1),而第二项
可以推导出Ke-r TN(d2)。N(d2)就是股价在期满日大于执行价格时的概率。因此,由风险中性的假设,也可以推导出和B-S相同的公式。