蒙特卡罗模拟法
蒙特卡罗模拟法(Monte Carlo Simulation)运用的范围很广,也很早。譬如,要测定一个不均匀的铜币,其人头出现的概率为多少,我们可以将铜币往上掷许多次,譬如1000次,然后计算人头出现的次数,便可求出概率。或者想知道掷投某一样东西(譬如铜板或针),其可能落在某个颜色地板上的概率。另外,赌场的庄家为了知道赢钱的概率或预期的输赢报酬率,他可以玩10000次吃角子老虎,然后看看10000次中的预期报酬率为多少。蒙特卡罗模拟法同时也广泛地运用在自然科学及社会科学中,如原子、分子撞击实验等。基本上,蒙特卡罗模拟法乃是一种基于大数法则的实证方法,实验次数愈多,它的平均值就会愈趋近理论值。
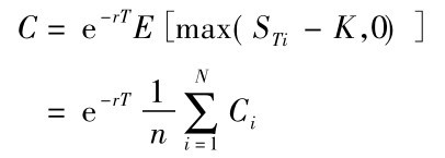
1977年,Boyle首先将蒙特卡罗模拟法运用到期权定价上。蒙特卡罗模拟法用于期权定价的概念是基于风险中性假设,亦即任何看涨期权的现值等于以无风险利率折现的未来预期看涨期权价值。因此,如果知道股价的产生程序(如几何布朗运动),藉由计算机仿真出几百次、几千次或甚至几万次可能股票价格的路径,然后转换成每次可能的看涨期权价值,再将几千次看涨期权取平均值,便可得到到期看涨期权的期望值,最后再以无风险利率折现,便可得到看涨期权(或看跌期权)目前价值。以公式表示:
![C=e-r TE[max(STi-K,0)]=e-r T1n∑Ni=1Ci](https://www.daowen.com/attached/book/image/202721005/18832226-77c7-4ef0-81e1-25f00855b926.jpg)
其中: Ci=STi-K,STi为到期时可能的第i种股价,E[·]为期望值,而r表示无风险利率,T则为到期期限。如果STi>K,则Ci>0; 如果STi<K,则Ci=0。
蒙特卡罗仿真法进行程序
一般蒙特卡罗仿真法进行的程序可归纳如下:
步骤1: 选定标的资产价格产生模型、均数及标准偏差。譬如最常用的是对数正态分布,其产生公式如下:

其中: St、St+1分别为本期及下一期的股价,r为利率,σ为股价报酬的标准偏差,Δt为产生股价的间隔时间,ε为标准正态分布随机数。
步骤2: 抽取随机数值ε,根据公式18-4产生下一期股价,如此一直循环产生一条股价路径及到期股价。
步骤3: 依据期权到期的定义,求最终期权价值(如欧式看涨期权为max(ST-K, 0),或欧式看跌期权为max(K-ST,0))。
步骤4: 将上述步骤2、3重复N次,求N次期权的平均值。
步骤5: 以无风险利率将平均值折现,即为期权目前价值。