二项式看涨期权公式的推导
2025年09月26日
第二节 二项式看涨期权公式的推导
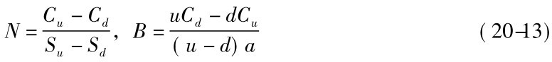
二项式看涨期权公式推导的主要概念是看涨期权的损益可以由债券及股票复制。这和本章第一节B-S模型藉由股票和看涨期权形成一个无风险的债券组合有异曲同工之妙。假设我们在期初买入N股的股票及B单位的债券来复制看涨期权,亦即
ΔS+B=C (20-10)
到下一期(期满日)时,如果股价上涨,则证券组合价值变为:
ΔSu+Ba=Cu (20-11)
如果股价下跌,则证券组合价值变为:
NSd+Ba=Cd (20-12)
其中,Ba为债券在一期后之本利和。
由公式20-11及公式20-12联立可求得:

所以将N及B代入公式20-10整理后可得

其中,即为对冲比率。另外,公式20-13的B是负值,因此本证券组合是以买入股票及卖出债券来复制看涨期权。
风险中性下二项式公式的推导
在B-S模型中,我们提到可以利用风险中性的假设导出B-S公式; 同样对二项式定价模型也可以用风险中性的假设导出公式20-14的定价公式,而不用之前提到的复制概念。在风险中性的假设下,任何证券的预期报酬为无风险利率,同时任何证券的现值等于预期现金流量以无风险利率的折现。
假设q为目标物价格上升的概率,而1-q为下跌的概率,目前股价为预期下一期股价的折现,因此:
S=E(S+1)/a=(q·Su+(1-q)Sd)/a (20-15)
目前看涨期权价值为预期下一期看涨期权价值的折现,则
C=E(C+1)/a=(q·Cu+(1-q)Cd)/a (20-16)
E(S+1)为下一期股价的期望值,E(C+1)为下一期期权的期望值。由公式20-15可以得到q==p。因此,在风险中性下,公式中的p便可看成股价上涨的概率,而1-p便是下跌的概率。代入公式20-6得证公式20-14。