二项式期权定价模型
二项式期权定价模型(binomial option pricing model,BOPM)是一种常用来给期权定价的方法。在二项式定价模型中,由于股价展开以后,成为倾倒90度角的树状,因此也常称为二项树状模型(binomial tree model)或树状模型(tree model)或二项式模型。二项式模型最早是由诺贝尔奖得主William Sharpe在1978年提出,后来John Cox、Stephen Ross和Mark Rubinstein三人以及Rendleman和Barter两人又分别提出相同主张。目前大都以Cox、Ross和Rubinstein三人发表的论文为主,故又称为CRR模型。[1]
二项式模型的基本概念是假设股价的变动是间断的(discrete),而非B-S模型中的连续的(continuous)。二项式模型中假设股价不是涨到Su就是下跌至Sd两种情形,其中S为股价,u、d为1加上上涨幅度或减去下跌幅度。譬如上涨10%,则u=1.1; 下跌10%,则d=0.9,即股价不是由100上涨到110=100×1.1,就是下跌到90=100×0.9。
二项式模型是借由求出最终股价,然后求出最终期权价格,再往前推出二项式模型前一期的期权价格,再通过相同程序,求出更往前一期的价格,如此重复,最后得出期权的期初价格。因此,二项式模型基本上是知道了期满日的股价,推导出到期期权价格,再推回期初的看涨期权价格。
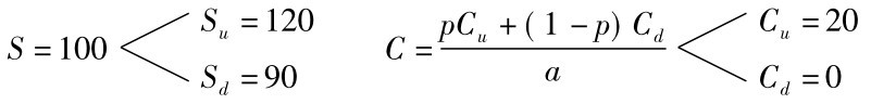
首先,假设期权还有一期到期,股价上涨到Su或下跌到Sd,假设看涨期权到期的价格分别为Cu和Cd,而Cu等于max(Su-K,0),而Cd等于max(Sd-K,0),如图18-1所示。

图18-1 一期模型
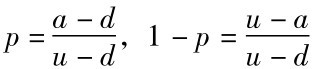
因此,二项式一期期初看涨期权价值的公式可以得到如下:

其中,,a=erΔt或1+rΔt,r为利率;Δt为期间的长短。此外, u、a、d还须满足u>a>d的条件,不然会有套利的情形发生。在此,p可视为股价上涨的概率。[2]
【例题1】 假设目前股价为S=100,看涨期权执行价格K=100,还有1年到期,另假设u=1.2,d=0.9,年利率为10%,求此看涨期权的价格。
解: 一年后可能股价:
上涨: Su=100×1.2=120
下跌: Sd=100×0.9=90
股价上涨时,看涨期权到期值Cu=max(120-100,0) =20。
股价下跌时看涨期权到期值Cd=max(90-120,0) =0。

而Δt=1,所以a=erΔt=e0.1×1=1.1,而p==0.667,1-p=0.333,代入公式得到目前看涨期权价值为:
C=(0.667×20+0.333×0)/a=(0.667×20)/1.1=12.1