期权敏感度分析
在第三章提到,期权价格主要受到5个因素的影响,即目标资产价格、期满日、目标资产股价报酬波动率、无风险利率、执行价格的影响。任何一个因素的变动,均会造成期权价格的变动。因此,投资者和权证发行者(期权卖方)如何进行监控以及管理这些因素所造成期权价格变动的风险,也是非常重要的课题。敏感度分析(sensitivity analysis)便是用来衡量因上述5个变量发生变动时,期权价格变化的情况。由于一般习惯上用希腊字母(Greek)来表示这些变量变动对期权价格的影响,因此,期权敏感度分析有时称为期权Greeks。
一、delta(Δ)
delta用来衡量期权目标资产价格变动对期权价格的影响。如果目标资产价格变动1元,期权价格变动0.6元,则delta就等于0.6; delta也称为对冲比率。B-S欧式看涨期权的delta以公式表示如下:
欧式看涨期权的delta==N(d1)>0
欧式看跌期权delta==N(d1)-1<0
看跌期权delta小于0,表示当股价上涨时,看跌期权价格下跌,大小刚好为看涨期权delta减去1。
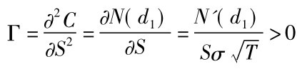
二、gamma(Γ)
gamma用来衡量delta的敏感度,也就是当股价变动时,对冲比率delta变动的情况。或者说,当股价变动1元时,delta变动的大小。欧式看涨期权及看跌期权的gamma可以公式表示如下:

其中: N'(d1)为累积概率N(d1)的一阶导数,亦即为标准正态分布,N'(d1) =。gamma恒为正,表示delta随着股价上升而上升,随着股价下跌而下跌。譬如gamma=0.01,表示当股价变动1元时,N(d1)会上升0.01,表示看涨期权和股价呈曲线状态。在非常深价内时,gamma=0,此时对冲比率等于1,表示股价变动并不影响对冲比率,即看涨期权和股价呈一直线关系。一般在平价附近,稍偏价外处,gamma最大。看跌期权的gamma和看涨期权的gamma大小及符号都是一样的。同样表示当股价上涨时,delta会上升,反之则下跌。
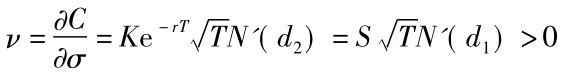
三、vega(v)
vega或称kappa用来衡量目标价格波动率改变对期权价格的影响,也就是波动率每上升1单位对期权价格的影响。欧式看涨期权及看跌期权的vega可用公式表示如下:

vega大于0,表示当股价波动率上升时,看涨期权价格上升; 反之,则下跌。一般在价外接近平价时之vega最大。看跌期权的vega和看涨期权的vega也是相同的,也就是波动率σ的上升使看涨期权及看跌期权的价格呈现相同大小、相同方向的变动。譬如当σ上升使看涨期权上升1元,则同条件的看跌期权也上升1元。也就是说,同条件的看涨期权看跌期权的相对价格(C-P)不受σ变动的影响。
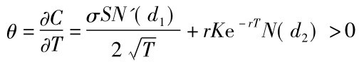
四、theta(θ)
theta用来衡量到期期限变动对期权价格的影响。因为期权是一种损耗性资产(wasting asset),所以期权的时间价值会随着到期期限的逼近而递减。欧式看涨期权theta可以用公式表示如下:

θ为正,表示到期期限越长,欧式看涨期权的价格越高。有些教科书将θ取负值,表示随着期满日的减少,看涨期权价值下降。
![欧式看跌期权theta=∂P∂T=σSN'(d1)2■T +r Ke-r T[N(d2)-1]≷0](https://www.daowen.com/attached/book/image/202721005/457fdc4d-ee53-4638-8669-45dd5f429f65.jpg)
看跌期权theta可能大于0也可能小于0,也就是时间对欧式看跌期权的影响是不确定的,可能较短期的看跌期权反而价值较大。因为可能在某个时点先到期的先卖出股票拿到执行价格K,会比后来才拿到执行价格有利(先赚取K的利息成本)。
五、rho
rho用来衡量无风险利率变动对期权价格的影响,或者是说期权价格对无风险利率变动的敏感度。欧式看涨期权rho可以用公式表示如下:

因为rho为正,表示利率上升,则看涨期权价格上升; 反之,利率下降,则看涨期权价格下跌。
![欧式看跌期权rho=∂P∂r=TKe-r T[N(d2)-1]<0](https://www.daowen.com/attached/book/image/202721005/3a3a6164-f11e-440d-a8cc-c4bbd6be6239.jpg)
看跌期权rho小于0,表示当利率上升时,看跌期权价格下跌,和看涨期权rho方向相反。
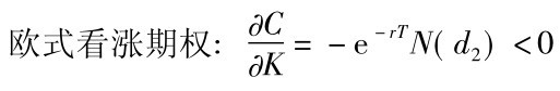
六、执行价格对期权价格的影响

由于执行价格不太会变动,所以基本上并无执行价格风险。执行价格的变动对看涨期权而言,刚好成反向变动,所以执行价格越高,看涨期权的价格会越低。
欧式看跌期权:=e-r T[N(d2)-1]>0
上面介绍的delta(Δ)、gamma(Γ)及theta(θ)其实彼此间也有关联。根据公式20-8, B-S的偏微分方程式(PDE)可以得到

七、lambda(λ)
lambda是用来衡量当股价变动1%时,期权价格变动多少百分比。换句话说,delta是衡量绝对价格的变动,而lambda是衡量相对价格的变动,亦即弹性的概念,所以有时候称lambda为看涨期权价格弹性,其定义如下:

因此,λ其实就是本书提过的实际杠杆比率(effective gearing),而就是杠杆比率(gearing),
是前面提过的delta,所以lambda其实就是delta乘以杠杆比率。
![看跌期权lambda(λ)=ΔP/PΔS/S=[N(d1)-1]×SP<0](https://www.daowen.com/attached/book/image/202721005/911f6414-adad-48b5-91a7-dc525aa9928a.jpg)
这表示为股价上升1%,看跌期权下降多少百分比,为看跌期权的delta乘以看跌期权的杠杆比率。