远期外汇及定价
一、即期外汇与远期外汇
所谓汇率(exchange rate)是指两种不同货币的兑换比率。譬如1美元兑换6元人民币; 或6元人民币换1美元。一般汇率的报价方式有两种: 一种为直接报价(direct quote),另一种为间接报价(indirect quote)。所谓直接报价是指1单位外国货币等于多少单位的本国货币。譬如前面所提到的RMB $ 6∶ US $ 1,即1美元兑换6元人民币。间接报价则是1单位本国货币可以换取多少单位的外国货币。譬如说人民币1元可以换取0.11美元(1/6)。在国际外汇市场中,一般是以美元为基础报价,譬如说1美元等于80日元,或1美元等于6元人民币。但是习惯上,欧元及英联邦的货币如英镑及澳元则是采用1英镑等于1.6美元或1欧元等于1.4美元等方式来报价。
由于国(地区)与国(地区)之间进行国际贸易或国际投资等活动,因此会产生不同的货币互换(譬如以人民币换美元),我们称为外汇交易。由于国际贸易、国际投资的日益频繁,外汇交易的需求也大增。外汇交易一般可分为即期外汇(foreign exchange spot)与远期外汇(foreign exchange forward,FX forward)。即期外汇通常指外汇交割日期在2个营业日以内; 而远期外汇指外汇买卖的双方约定在未来某个日期(如3个月后),以约定的汇率(如RMB $ 6: US $ 1),交割某一约定的外币(如100万美元)[1]。
二、远期外汇的定价: 利率平价理论
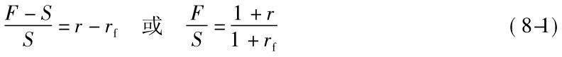
一般而言,我们可以使用利率平价理论(Interest Rate Parity,IRP)来估算远期外汇的理论价格。利率平价理论说明两国的汇率升贬值率会等于两国的利率差,否则会有套利的机会。以公式表示:

其中: F为远期汇率
S为即期的汇率
r为本国的利率
rf为外国的利率[2]
因此,远期外汇的价格便可以写成:

也就是说,远期外汇的汇率等于即期汇率乘以两国的利率加上1的比值。若考虑时间长短T,则公式8-2可改写成

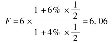
【例题1】 假设柏成国际贸易公司半年后将有一笔1000万美元的货款支出,为了规避人民币贬值的风险,欲买入1年期的远期外汇。假设人民币与美元的即期汇率为6∶ 1,人民币1年期存款利率为6%,美国1年期存款利率为4%,求出理论上半年期的远期外汇汇率。
解:

即一年期远期外汇的理论价格为6.06。
如果市场上的远期汇率较即期汇率高,我们称远期美元升水或溢价(premium)。如果远期汇率较即期汇率低,我们称为远期美元贴水,简称贴水或折价(discount)。由利率平价理论可以得知,理论上,一个国家(或地区)的利率较低时,此其远期汇率会贴水,即外币升水的现象; 而一个国家(或地区)的利率相对于其他国家(或地区)较高时,会有升水的情形。[3]
当然,这种利率平价理论是在没有套利空间的假设下才能成立。实务上,市场的远期汇率价格不一定等于理论上的远期汇率。有一些因素将造成理论价格与市价不等,这些因素包括交易成本,如手续费、买卖价差、外汇管制、外汇市场与货币市场的交易量等。此外,投机性的资金预期某种币值会在短期内大幅升贬而进出外汇市场,也将大大地影响远期外汇的汇价。譬如在1998年亚洲金融风暴发生后,亚洲各币值大幅贬值,新台币对美元的远期外汇的换汇点(swap point)就高达1元(即远期汇率高于即期汇率1元)。所谓换汇点是指远期汇率价格中,高出或低于即期汇率的差价部分。预期某个币别贬值,换汇点可能增大; 而预期升值,换汇点可能变为负。
远期外汇区分为DF(一般远期外汇)与NDF(无本金远期外汇)。DF全名为Delivery Forward,就是我们前面提过的远期外汇,也称为实体交割远期外汇; 而NDF全名为Non-Delivery Forward,俗称无本金交割远期外汇。NDF是指交易双方在未来特定期满日,以原先约定的远期汇率与期满日的即期汇率比较,结算其差额,而不需要交割本金(美元和人民币)的一种远期外汇合约。一般远期外汇大多是结算差额,不交割本金。
动动脑
人民币和美元的远期汇率服从利率平价理论吗? 若没有,你认为是哪些因素造成的?