外汇期权及其定价
1971年全球固定汇率制度瓦解后,世界各国实施浮动汇率,汇率波动大增,汇率风险也随之上升,因此与外汇有关的金融商品逐渐风行,成为国际借贷、投资和商品贸易的汇率对冲工具。芝加哥商品交易所的国际货币市场(International Monetary Market, IMM),虽于1972年5月推出外汇期货契约,但鉴于期货契约的特性,无法满足各类投资对冲的需求,故外汇期权(currency option)契约应运而生。大多数的外汇期权都是场外交易的期权,交易所交易的外汇期权比重比较低,这一点和指数期权刚好相反。
1982年12月,由费城股票交易所(PHLX)首先推出美式英镑期权契约,2个月后推出日元、瑞士法郎、德国马克和加拿大币期权,在1984年又推出法国法郎期权; 而欧洲货币单位(ECU)和澳元则分别于1986年及1987年开始交易。芝加哥期权交易所(CBOE)亦于1985年9月开始交易欧式外汇期权,但由于欧式期权交易不甚活跃,故于1987年8月,CBOE将其外汇期权业务移转予PHLX承接,故PHLX为目前最大的外汇期权交易所。PHLX以美元为主的外汇期权契约,包括英镑、加元、欧元、澳元、日元及瑞士法郎等。这些外汇期权皆是欧式契约。费城股票交易所已于2007年被纳斯达克交易所(NASDAQ)并购。此举使得NASDAQ成为全美第三大期权交易所。
外汇期权(currency option)又称外币期权,看涨期权持有人有权利在未来某一约定时间,依某一约定的汇率(譬如1日元=0.01美元),以美元买入某一约定数量的某一外汇(如日元)。譬如PHLX的日元期权契约单位为100万日元。外汇期权期满日一般为第三个星期的星期五。外汇期权一般是采实物交割。
一、外汇看涨期权定价公式
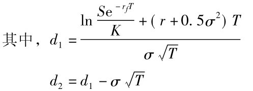
外汇期权的定价模型和公式7-1股指期权的定价模型很类似。我们知道股指的股利是以股利率的形式发放; 而外汇则会产生一连串外汇的利息收入,因此只要把指数期权定价公式中的股利率改为外汇所赚的利率即可。因此,仿照公式7-1指数期权的公式,外汇期权定价公式变为:


rf为国外无风险利率
S在此处表示汇率[7]
【例题3】 假设春龙国际贸易公司预计3个月内需要进口一批货,因此有1000万美元的支出。由于担心人民币贬值,因此预先向银行买入执行价格为6∶ 1的3个月美元兑人民币的外汇看涨期权,请计算此外汇看涨期权的价值(假设目前人民币兑美元的汇率为6∶ 1,人民币兑美元汇率的波动率为10%,美元无风险利率为5%,人民币的无风险利率为6%)。
解:
由给定的资料可知,S=6,K=6,T=,r=0.06,rf=0.05,σ=0.1,代入公式7-3(或利用本书所附的软件操作),其中的股利率用5%的美元利率代替,得到每1美元的看涨期权价值为人民币0.124元。因此,买入1000万美元等值的看涨期权需要0.124×1000万元=124万元人民币,约为20.7万美元,即权利金约为1000万美元本金的2%。[8]
因此,如果3个月到期,人民币汇率贬值不超过30∶ 1美元,则看涨期权没有价值; 反之,如果人民币贬值超过30(譬如31∶ 1),那么厂商仍然可以用30∶ 1买入1000万美元。读者可利用本书所附的软件,进入外汇期权的画面求得外汇期权的理论值。
二、外汇看涨期权对冲比率
和股指期权很类似,外汇看涨期权的对冲比率delta为N(d1)e-rf T。
三、外汇期权的看跌看涨期权平价关系
外汇期权的等价理论与股指期权很类似,只是将股利率改为外国无风险利率即可,因此外汇看涨期权看跌期权等价公式如下:
C-P=Se-rf T-Ke-r T (7-4)
因此,一旦知道了外汇看涨期权的价格,就可以根据上述公式计算出外汇看跌期权的价格。