期货期权及其定价
一、期货期权
期货期权(option on futures)又称为期权(futures option),是一种衍生性证券,持有人有权利在约定的某段时间,以某一约定的价格,买卖一定数量的期货。期货期权和我们前面介绍过的现货期权的性质非常类似,只是期货期权的目标资产是期货,因此期货期权可以说是衍生性商品的再衍生。1982年,美国商品暨期货交易委员会(CFTC)取消了长期国债期货期权(option on treasury bond futures)交易的禁令,同年,CBOT推出美国长期国债期货期权,是为期货期权的滥觞,也为后来的金融及农产品期货期权的产品铺路。
现货期权在看涨期权履约时,所换得的是目标的现货或价差; 但是在期货期权上,当看涨期权履约时,是以执行价格买进一个期货合约。因此,当期货看涨期权履约时,买方除了取得期货的多头头寸外,也会收到卖方支付期货价格和执行价格之间的差价,即F-K。对期货看跌期权而言,则是以执行价格卖出一个期货合约,当期货价格小于执行价格的时候,买方履约取得期货空头头寸,而买方会收到卖方所支付的执行价格与期货价格K-F的差价。
二、期货期权与现货期权的差异
期货期权和现货期权的性质虽然有些地方是共通的,但是其中仍然存在一些差异,兹简述如下。
现货期权与期货期权的交易所通常是不一样的。譬如,在费城股票交易所(PHLX)有外汇期权的交易,而外汇期货期权则是在芝加哥商业交易所(CME)交易。另外,S&P 500股价指数期权是在芝加哥期权交易所(CBOE)交易,而S&P 500股价指数期货期权则在芝加哥商业交易所(CME)交易。
此外,期货期权的到期月份并不一定要和期货的到期月份一样。我们知道一般股价指数期货通常有3、6、9、12月份到期契约,可是股价指数期货期权通常每月都有到期。因此可能有8月到期的期货看涨期权,它的目标资产是9月份到期的期货契约。另外许多现货期权的目标资产,如股价指数是不交易的; 而期货期权的目标资产,如指数期货是可以交易的。因此,在价格行为上,现货期权的价格会和期货以及期货期权的关联较密切。
再者,期货期权和现货期权的价格也稍微有所不同。对于欧式的期货期权和欧式的现货期权而言,两者的价格是一样的。那是由于欧式期权只能在期满日履约,现货与期货看涨期权的履约价值分别为S-K及F-K,因为期满日现货价格S会等于期货价格F,所以S-K=F-K。但是,对于美式期货期权和美式期权就不一样了,因为美式期权可以提前履约,期权的价格和到期前的股价有关。有些期货的价格通常都会高于现货的价格,譬如股价指数期货等,但是有些期货的价格会低于现货的价格,譬如农产品期货、能源期货等,因此,美式期货期权的价值与美式期权的价值便不同。
当期货的价格高于现货的价格时,那么美式的期货看涨期权价格就会高于美式的现货看涨期权价格,那是因为前者的内在价值F-K大于后者的内在价值S-K的缘故。对于看跌期权而言,当期货价格大于现货价格时,美式的期货看跌期权小于美式的现货看跌期权; 而当现货价格大于期货价格时,美式期货看跌期权价格则大于美式现货看跌期权价格。当现货价格大于期货价格时,美式期货看涨期权价格就低于美式期货看跌期权价格。
三、期货期权定价公式
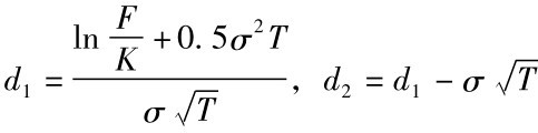
第五章我们介绍了B-S期权定价公式,该公式也可以运用到期货期权的定价上面。Black于1976年导出期货期权公式如下:
CF=Fe-r TN(d1)-Ke-r TN(d2) (9-9)
其中:CF为期货期权价格,,F为期货目前的价格, T为到期期限,K为履约价值,σ为期货的波动率,r为无风险利率,N(d1)为标准常态累积概率函数。
此公式和第五章B-S公式很相似,只是B-S公式的股价S在此处为Fe-r T所取代。
另外,我们由公式9-9对F微分,也可以求出期货期权的delta等于e-r TN(d1)。
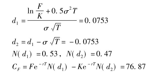
【例题3】 假设S&P 500股价指数期货还有4个月到期,其价格为1300。那么执行价格为1300,92天到期的期货期权看涨期权的理论价格及delta应该为多少呢? 假设S&P 500指数期货的波动率为30%,无风险利率为6%。
解:已知F=1300,K=1300,σ=30%,r=6%,T=
因此

期货看涨期权delta=e-0.06×0.25×0.53=0.52
四、期货的看涨期权看跌期权等价公式
在第四章我们提到看跌看涨期权平价关系,知道期权的看涨期权和看跌期权的相对价格,应该等于股价减去目标资产的折现。第七章也提到期货期权的看涨期权及看跌期权的价格也有这样的关系,我们称为看涨期权看跌期权期货等价理论(put-call futures parity),以公式表示如下:
CF-PF=(F-K)e-r T(9-10)
其中: CF为期货看涨期权价格,PF为期货看跌期权的价格,F为期货价格,K为执行价格。
由公式9-10可以看出,平价时期货看涨期权的价格等于期货看跌期权价格。
另外,看跌看涨期权平价关系也可写成现货看涨期权看跌期权和期货之间价格的关系:
C-P=(F-K)e-rt(9-11)
其中,C、P分别指现货看涨期权、看跌期权的价格。将公式9-10及公式9-11结合可得:
C-P=CF-PF(9-12)
即欧式现货看涨期权看跌期权的相对价格等于期货看涨期权看跌期权的相对价格。这很容易懂得,因为欧式现货看涨期权和期货看涨期权的价值是相等的,同理欧式现货看跌期权与期货看跌期权是相等的。
以上所介绍的看涨期权看跌期权期货等价公式是就欧式期权而言的。然而,大多数交易所的期货期权契约都是美式期权,譬如CME的外汇期货期权,及S&P 500股价指数期货期权等均为美式。因此,公式9-10的等价公式就成为不等式。美式期权看跌看涨期权平价关系有几种公式,一般可写成:
Fe-r T-K≤CF-PF≤F-Ke-r T(9-13)
由于现货期权的目标资产(譬如S&P 500股票)为非交易资产,在套利上比较难,因此,现货期权的看涨期权与看跌期权的关系可能偏离看跌看涨期权平价关系很大。譬如在1987年10月19日全球股价大崩盘的一、两周,S&P 500股价指数看涨期权及看跌期权的相对价格就偏离看跌看涨期权平价关系,指数看涨期权相对低于指数看跌期权[3]。但是,S&P 500期货看涨期权和看跌期权的价格在当时并没有太大地违反看涨期权看跌期权期货等价理论。因为期权的目标资产为期货,可以交易,因此套利的成本较低,使得套利的力量较大,很快使得看涨期权看跌期权期货等价理论收敛。
关于本书前面几章介绍过的期权的价格上下限、期权的交易策略、期权的敏感度分析、期权的对冲策略等,都可以应用到期货期权来,或者是只稍作修正。本书不在此介绍,读者可以参阅本书相关章节。