三、镜像法
根据场的唯一性定理,只要给定的边界条件不变,无论采用什么解法,场的解答都是唯一的。为求解非均匀介质中稳定电流场的电位分布问题,可以用解电位方程式(1-12)的方法,但要预先知道非均匀分界面上的边界条件,这在目前还难以完全做到,只能对少数特殊产状的断面取得满意的解答。在解决实际问题时,常用的是镜像法(或电像法),它是解决电学问题的一种特殊方法,也是一个最简便的解法。
镜像法就是把电场中存在的不同介质分界面看作一面镜子,分界面的影响用一个位于实际电源的镜像位置的虚构电源来代替,这时电场可视为由实际电源和虚电源共同产生。根据唯一性定理,最后求解的结果与实际情况产生的电位是完全一致的。
设空间有一平面,平面两侧介质电阻率分别为ρ1和ρ2(图1-8)。观测点M1与电源I同在ρ1介质中,虚电源I'在ρ2介质中与场源I对称的位置上,相对于分界面而言,I'恰为I的镜像。这样,M1点的电位应由两部分组成,第一部分是电源I在M1点产生的电位,第二部分是由虚电源I'(电流的反射部分)在M1点产生的电位,根据式(1-26),M1点的电位为
![]()
令
![]()
其中,K12称为界面的反射系数,则式(1-38)可改写为
![]()

图1-8 镜像电源示意图
由于引入虚电源I'来代替ρ1和ρ2分界面的影响,认为M1点的电位是在充满ρ1介质的均匀全空间中由I和I'共同产生的,从而把全空间存在电阻率分界面的问题,简化为只有ρ1的均匀空间存在两个点电源的问题。
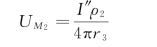
当观测点位于无源介质ρ2中的M2点时,M2点的电位是电流源I通过分界面透射后在M2点产生的。可用在电源所在位置选取的虚电源I'来代替I和界面的影响,这时可认为M2点的电位是在充满ρ2介质的均匀全空间中由I″产生的电位,即(https://www.daowen.com)
![]()
令
![]()
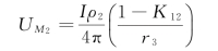
其中,1-K12称为界面的透射系数,则式(1-39)改写为
![]()
为确定I'和I″的大小,令M1和M2都向界面靠近,并在界面上合为一点,即r1=r2=r3=r。根据电位的连续条件,可解出

在地面电阻率法中,所研究的是地下半空间问题,同样可用镜像法求解非均匀介质半无限空间中稳定电流场的电位分布问题。
有源一侧M1点的电位为

无源一侧M2点的电位为
