电流密度随深度的变化及勘探深度的概念
2026年01月14日
三、电流密度随深度的变化及勘探深度的概念
研究电流密度随深度的变化规律对电阻率法勘探有重大意义。因为,地面电阻率法根据地表电流密度的变化来判断地下电阻率有明显差异的地质体存在与否。集中于地表的电流越多,流入地下深处的电流就越少。当埋藏于深部的岩石中的电流密度很小时,岩石电阻率的差异对地表附近电流密度的影响很小,因而能够进行勘探的深度也就小了。下面我们讨论电流密度随深度的变化规律。
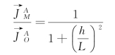
1.一个点电流源
![]()

![]()
即
![]()
可见,一个电流源的电流分布有如下特点:


图1-9 均匀各向同性介质地面上一个点电流源的电流密度分布

说明当h=0时,在地面的电流密度最大。

(https://www.daowen.com)
图1-10 均匀各向同性介质地面上两个点电流源的电流密度分布
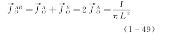
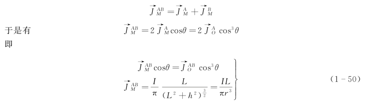
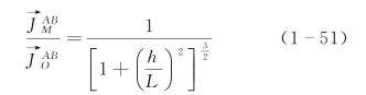
2.两个点电流源


在AB的中垂线上深度为h的M点处,电流密度为

由此可见,两个点电流源电流密度分布有如下特点:

(3)比较式(1-49)与式(1-50),得

图1-11 电流密度随深度分布曲线
1—1个点电流源;2—2个点电流源


勘探深度是指在给定装置条件下能产生可靠相对异常、可查明探测目标的最大深度。它与供电电极距大小密切相关,一般认为是AB/2,但它还与装置类型,探测目标的相对大小、形状、埋深和电阻率差异以及干扰水平等因素有关。