动校正和静校正
地震记录经过抽道集后,得到共中心点道集记录,在界面水平时,就是共反射点道集记录,简称为道集记录。为了进行水平叠加,必须对道集记录进行动、静校正,在这一章中,我们将讨论动、静校正的基本概念,动、静校正量的求取。
(一)动校正
无论是单次的反射波时距曲线还是共深度点的时距曲线都是一条双曲线(图7-13和图7-14)。

图7-13 反射波时距曲线

图7-14 共深度点时距曲线
对单次反射波时距曲线来说,当地下反射界面水平时,时距曲线是一条对称的双曲线;当地下反射界面倾斜时,时距曲线是一条极小点向上倾方向偏移的双曲线(图7-15)。一般情况下,根据时距曲线族的形状可以大致了解地下各反射界面的形态,把由于在地面接收点偏离炮点所引起的时差消除掉,即把每个接收点都看成是自激自收的,这样,时距曲线便成了一条直线,它就能直接反映地下反射界面的产状了(图7-16)。消除由于接收点偏离炮点所引起的时差,这个过程就叫作动校正或时差校正。
共深度点的时距曲线也是一条双曲线,由于各道存在炮检距不同而引起的时差,不能直接进行多次叠加,为此必须先消除这些时差,即进行动校正,使其成为在共深度点上的自激自收时间,这时共深度点时距曲线成为一条水平直线,各道间已无时差,便可进行同相叠加了。

图7-15 倾斜地层时距曲线
上述两种动校正情况,其原理和公式形式完全一样,但必须注意,其含义是不同的。现在,野外大都是采用多次覆盖技术,室内处理是将共深度点时距曲线做动校正后再进行水平叠加。因此,下面所讨论的是属于后一种动校正情况。显然,每个共深度点都做了动校正,就等于整个测线上都经过了动校正,第一种动校正所述的内容实际上也包含了。因此,经过共深度点时距曲线的动校正,即可进行水平叠加,又在整条测线上反映了地下构造形态。

图7-16 动校正以后的时距曲线
动校正就是把不同炮检距的时间均校正到零炮检距的时间(即t0时间),这个时差叫动校正量。
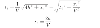
下面讨论动校正量怎样计算、动校正量有什么特点。设有一共深度点时距曲线(图7-15),时距曲线上某点的时间ti由下式确定:

式中:t0为M点的垂直反射时间;i=1,2,3,…,N为道的序号;N为覆盖次数;xi为炮检距。某道动校正量用ΔTi表示:

式(7-26)是动校正量的基本公式。从式(7-26)看出,只要固定xi(炮检距在野外是固定的),给出t0,已知V,立即可求出ΔTi。另外可以看到,对一个固定的炮检距xi,随着t0的增大,通常V也在增大或变化,这时ΔTi是减小的。因此,对于每个地震道,动校正量随着t0的变化而变化。当xi变了,动校正量也是变化的。因此,动校正量ΔTi不仅随时间t0而变化,也随空间位置xi的改变而变化。
(二)静校正
人们一般认为反射波时距曲线是一条双曲线,这是由于在推导反射波时距方程时,假设观测面是一个平面,炮点S和接收点R在一条直线上,而且认为以下介质是均匀的。但是,实际在野外观测时,观测面不一定是平面,而是起伏不平的,地下介质也不是均匀介质,实际观测的时距曲线往往是一条畸变了的双曲线(图7-17),它不能正确地反映地下的构造形态。因此,必须研究地形变化及地表条件对地震波传播时间的影响,找出由于激发条件和地表接收条件的变化所引起的时差,并对时距曲线进行必要的校正,以恢复原双曲线形状。这一过程就称为静校正。

图7-17 地形起伏造成时距曲线畸变
我国幅员辽阔,有平原、山区、高原、沙漠,地形变化很大。在山区进行地震勘探,一个排列内高差可达数十米。即使在平原地区,地表沟渠纵横,地表速度变化频繁,由此引起的时差也可达几十毫秒。对于多次覆盖观测系统来说,由于都采用大排列和大道距,同一个共深度点道集经过动校正后,时差往往仍可达十几毫秒,甚至更大。如果不对这种时差进行校正,那么叠加效果将是不好的。在构造平缓的地区勘探小幅度构造,如果不进行静校正,则要造成错误的解释。

图7-18 基准面校正原理图
1.基准面校正
所谓基准面校正也称为一次静校正。一般是在一个工区事先选择一个基准面,将工区内的所有炮点和接收点都校正到这个基准面上,并且把基准面以下的低速带全部替换成高速层(即基岩速度)。因此,基准面校正主要包括井深校正、地形校正和低速带校正三个内容(图7-18)。
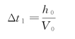
(1)井深校正。设低速带的速度为V0,则井深校正值Δt1为

式中:h0为井底至基准面的距离。
只要从接收点S接收到的时间t中减去Δt1,就完成了井深校正。
(2)地形校正。地形校正是把接收点S校正到基准面上,假设接收点至基准面的距离为hS,则地形校正值Δt2为

只要在接收点S接收的时间t中减去Δt2,就完成了地形校正。
(3)低速带校正。由于低速带的存在,使得接收到的时间延迟了Δt3,更重要的是当低速带的速度和厚度沿测线变化时,各接收点延迟时间将不均匀。一般低速度带的速度很低,为800~1000m/s,基岩速度一般超过2000m/s。为了消除低速带的影响,必须事先测定低速带的速度和厚度及沿测线的变化情况,在校正时,就是把低速层的走时换成高速层基岩的走时。如图7-18所示,低速带校正值为
![]()
上式没有考虑到低速带的横向速度变化。(https://www.daowen.com)
总的静校正量为
![]()
必须指出,式(7-27)中的求和均指代数和。在基准面校正中,只要把每个炮点和接收点的高程及低速带的速度和厚度提供给机器,则按式(7-27)就可计算出各道的静校正量。
静校正的实现也是通过对样点进行搬家,但搬家方式与动校正不同。其一,对某道记录来说,该道的静校正值对所有样点都相同,与介面埋藏深度无关。其二,任一道的静校正值可能是正,也可能是负值,因此静校正搬家有的道是向前搬家(静校正值为正),有的道是向后搬家(静校正值为负),各道均不相同。但是对于某道来说,各样点搬家的方向和移动的单元数目是相同的,也就是说该道的所有样点整体向前或向后移动,所以称静校正为整体搬家。
2.剩余静校正
基准面校正后,理论上已经把炮点和接收点都校正到基准面上了,然而实际并非如此。例如,实际的炮井位置或检波点位置与桩号位置往往不重合,造成无法校正的时差。又如低速带的速度和厚度测量的不准确等,都可能引起一些无法校正的时差。这种经过基准面校正后尚存的剩余时差称为剩余静校正量。这种剩余静校正量各道不等,大者可达几十毫秒,如果不进行剩余静校正,将无法提取准确的速度参数;使反射波(在动校正后)不能达到同相叠加,致使叠加剖面质量很差。
剩余静校正也称为自动统计静校正,因为这种剩余静校正量不能用一般函数表示出来,但是它满足统计规律,是随机函数,用概率统计的方法可以自动地提取剩余静校正量。
(1)剩余静校正量的分类。剩余静校正量可分为短波长(高频)静校正量和长波长(低频)静校正量两类(图7-19)。其中短波长静校正量是局部范围低速带变化引起的,使共深度点道集中各道反射波到达时间不同,从而影响叠加效果。长波长静校正是较大区域的低速带异常,是由相当于一个排列以上的低速带变化引起的,一般对共深度点道集的水平叠加影响不很大,但这种长波长静校正量的存在将造成速度谱异常,往往容易误认为岩性变化或构造异常引起,导致解释错误。
(2)剩余静校正处理的基本假设和特点。这里主要讨论短波长静校正处理。剩余静校正处理方法很多,一般都是在一定的假设条件下求取剩余静校正量。我们作如下假设。
1)地震波在低速带中是垂直传播的,即接收点接收到的深层反射波的传播时间与入射角无关。
2)由地形变化和低速带的变化引起的剩余静校正量时差是随机变化的,地面各炮点或各接收点的剩余静校正量之和为零。即,有的炮点的剩余静校正量为正,有的炮点的剩余静校正量为负,而它们的均值为零。必须注意,这一假设条件不符合长波长剩余静校正量的统计规律的。
下面我们再来讨论剩余静校正处理的几个特点。
1)设地震道xi(t)存在剩余静校正量τi,它包括炮点的剩余静校正量和接收点的剩余静校正量,即
![]()
式中:τS为炮点的剩余静校正量;τR为接收点的剩余静校正量。
我们称τR为接收点的绝对静校正量,称τS为炮点的绝对静校正量,称τi为第S炮第i道的相对静校正量。
2)对于共炮点记录,各道的接收点绝对静校正量τRi是不同的,但它们的炮点绝对静校正量是相同的。例如,48道的共炮点记录,在S点放炮,各道的相对静校正值可分离为:

如果我们对48道的相对静校正量求其总和,由于各接收点地面位置不同,它们的静校正值是随机分布的,则有


图7-19 剩余静校正量分类图
因此有

式(7-28)说明:共炮点记录各道相对静校正量的算术平均值等于炮点的绝对静校正量。
3)在多次覆盖观测系统中,同一个地面接收位置,对于不同地点放炮进行多次的观测,如图7-20所示是六次覆盖观测系统,地面接收点A,用于重复观测12次,这时接收点的静校正量τR不变,而各炮点的静校正量不同。由于这12道记录分属不同炮记录,但它们的接收点相同(都在A点),所以我们称这些道集为共接收点道集。它们分别是:

图7-20 六次覆盖观测系统图
第1炮第23道相对静校正量τ23=τS1+τR
第2炮第21道相对静校正量τ21=τS2+τR
第3炮第19道相对静校正量τ19=τS3+τR
⋮
第12炮第1道相对静校正量τ1=τS12+τR
将上述共接收点道集的相对静校正量求其总和,由于各炮点的静校正值是随机分布的,它们的均值为零,即

所以有

式中,k=0,1,2,…,11。式(7-29)说明,共接收点道集相对静校正量之和的算术平均值等于接收点的绝对静校正量。