放射性同位素测井
(一)概述
放射性同位素测井也叫放射性示踪测井。在井孔中利用放射性同位素作为指示剂,以探测渗透性岩层和研究地下水运动特性,检查钻孔技术情况(如出水位置、套管破裂位置等)的测井方法称为放射性同位素测井。
进行放射性同位素测井时,将含有放射性同位素的活化液体注入井孔中,大部分放射性同位素将与液体一起进入渗透性岩层或岩体裂隙、洞穴中,然后在投放井或邻近井孔中(检查井),测量指示剂浓度或γ射线强度。
放射性同位素测井所使用的同位素一般是由核反应形成的人工放射性同位素。选择用于同位素测井的放射性同位素,应考虑以下要求:
(1)为了工作方便,应选择能溶于水的同位素化合物。
(2)选用的同位素能放出较强的γ射线,以利于穿透井内套管等,便于测量。
(3)选用半衰期适中的放射性同位素。半衰期太短的放射性同位素不利于保管、运输、观测;半衰期太长的放射性同位素造成污染,且对以后的放射性测量工作不利。
(4)选用易于制作、使用安全、价格便宜的放射性同位素。另外在研究地下水运动特点时,应选用流经岩层时不易被液体吸附的放射性同位素。
表10-6给出了目前同位素测井工作中较常用的一些同位素特征。
表10-6 常用同位素参数表


图10-63 γ强度方位矢量图
(二)群井工作方式
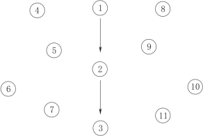
选择中心孔作为指示剂投放孔,在其周围其他钻孔用自然γ测井仪观测示踪的到达时间t,则根据孔间距离R可计算地下水的渗透速度:
![]()
由于指示剂随水流一起流动,因此只能在下游方向才能观测到明显的示踪异常。由各孔测得的γ强度作出读数随方位变化的矢量图(图10-63),则由最低γ读数的孔位指向最高γ读数的孔位方向为地下水的流向。
利用一孔投源、多孔接收分析示踪剂浓度的变化也可求出含水层的弥散系数,进行地下水污染的预测和调查,还可借助该方法进行地下水的连通试验,了解坝基或其他水工建筑物的渗漏情况。
(三)放射性同位素测井应用
1.确定地下水流向、流速、流量及渗透系数(https://www.daowen.com)

图10-64 利用同位素测定地下水流向示意图
为确定地下水流向、流速、流量等水文参数而进行放射性同位素测井时,一般是先将溶有放射性同位素的泥浆或水溶液注入井孔中,待其随地下水流动后,在附近井孔中测量其γ射线强度。根据附近井孔中所测得的γ曲线,可以确定地下水流向、流速。例如有如图10-64所示井群,在1号孔中投入含有放射性同位素131I化合物的溶液,在周围井孔中测量γ射线强度。若在2号井及3号井孔中发现了γ射线异常,则可确定地下水流向为1→2→3号孔方向。且根据从1号孔投入含131I化合物溶液时刻起,到2号孔中测得131I放射的γ射线时刻止的时间差Δt,以及1号孔到2号孔的距离R,即求得地下水流速(V=R/Δt)。
再由V及岩石孔隙率φ,按下式求出渗透速度Vf:
![]()
于是通过断面W的地下水流量Q为
![]()
再按下式求出渗透系数Kf:

式中:I为水力坡度(降)。
2.确定井内出水位置或套管破裂处
可以先在投放井中注满含有放射性同位素盐类的溶液,例如含131I的盐溶液之后立即进行测量。这时γ射线测井曲线近似于一条直线。而后,每隔半小时或一小时进行一次测量。在地下水出水处,γ射线强度有所减弱。为加快实验,可定期向上提捞井液,以减小井内水压,加大出水量,这样所测得的γ射线强度曲线的变化将更加明显。
另外也可采用向井内注入硼酸溶液,之后进行中子-γ测井,以判断出水位置的方法。具体做法是,首先在井孔中进行中子-γ测井,之后向井孔中注入一定量的硼酸,使整个井孔中的硼酸浓度近于相等(约为2~3g/L[2])。注入硼酸后进行第二次中子-γ测井。测量被激发的γ射线的强度。这时测得的γ值将明显降低,而且曲线变的平直了。此后每隔半小时测量一次γ射线强度。在出水位置处溶液中的硼离子被冲走,出水位置处的γ射线强度值逐渐增大。γ射线强度值趋于同一点第一次所测得的γ射线强度。由此确定出出水位置。同理亦可用来测定套管破裂处。
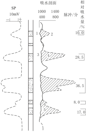
此外,吸水剖面的测量对于了解含水层的渗透性、压水试验中各个地层的吸水性能都是非常重要的。测量时,先测一条自然γ背景曲线,如图10-65所示之实线,然后再将活化悬浮液注入井内后测一条活化γ曲线(图10-65中之虚线)。由于吸水层在吸入水的同时,固相载体滤积在相应层段的井壁表面,形成一层活化层。地层吸水量越大,同位素载体在井壁上的滤积量越多,于是两条γ曲线幅度相差就越大。如将两条γ曲线叠绘在一起并以非吸水层(如泥岩)段作为幅度差为零的标准,则在吸水层段上两条曲线所包围的面积Si(图10-65中之4)与该层的相对吸水量qi成正比,即

图10-65 二次γ曲线重叠图
1—吸水层;2—活化γ曲线;3—自然γ曲线;4—包围面积
![]()
式中:Si为第i层活化γ曲线与自然γ曲线包围面积:∑Si为全井段各吸水层总的包围面积。