重力仪、重力勘探的野外工作方法
1.重力仪
重力仪是进行重力测量的仪器。为了发现由地下异常地质体所引起的微小重力变化,高灵敏度的重力仪是必不可少的仪器。重力仪种类很多,其中采用静力平衡原理进行工作的仪器有石英弹簧重力仪(如ZSM型和Worden型重力仪),还有金属弹簧重力仪(如GS型重力仪),它们都是进行相对重力测量的仪器。石英弹簧重力仪是目前地面重力测量常用仪器,而金属弹簧重力仪不仅可以用于地面测量,而且可以用于海洋测量。利用悬丝固有频率与重力有关原理进行工作的仪器,称作振弦重力仪(如国产ZY型)。它既能进行相对重力测量,又能进行绝对重力测量,它适用于航空(包括宇航)、海洋及钻孔中测量。随着科学技术的进步,重力仪精度正在逐步提高,一些新型仪器,如超导重力仪和激光重力仪等相继问世。

图9-5 重力仪示意图
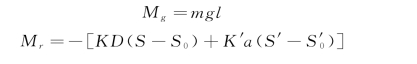
下面仅对以静力平衡原理工作的重力仪作介绍。图9-5是一个绕水平轴O在垂直面内自由转动的秤杆,另一端固定着一个质量为m的重荷,重荷与转轴之间接两条粗细不等的弹簧。可见整个系统受到两种力矩的作用,一是重荷m在重力作用下对O轴产生一个重力矩,二是两条弹簧的张力对O轴产生的弹力矩。如果用Mg表示重力矩,用Mr表示弹力矩,那么,只有当这两个力矩大小相等、方向相反时,秤杆才能静止在某一位置上,称为平衡状态,其平衡条件为(https://www.daowen.com)
![]()
式(9-8)称为重力仪基本平衡方程式。
现规定顺时针方向转动的力矩为正值,逆时针方向为负值,则有

因此有
![]()
式中:m为重荷质量;l为重荷到转轴的距离;K、K'分别为弹簧1和2的弹性系数;D、a分别为两弹簧的力臂;S0、S'0和S、S'分别为两弹簧受力前后的长度;g为重力加速度值。
如果使用重力仪在G点测量,其值为gG,在A点测量时,其值为gA,它们的重力加速度差值Δg可用式(9-10)表示:

![]()
只要准确地读出重力仪两点的格数差值S'A-S'G,乘上格值后就能测量出两点的重力差。由此可见,这类重力仪只能测量相对重力值,而不能测定某点的绝对重力值。
目前,地面重力勘探中使用的重力仪的精度是较高的,如国产ZSMIV石英弹簧重力仪。
2.野外工作方法
野外工作大体上分为预查、普查、详查和细测四个阶段。
重力预查是在重力勘探空白区进行大范围、小比例尺(1/50万~1/100万)的重力测量。其目的是在比较短的时间内,获得有关大地构造基本轮廓的资料,以作为布置重力普查地区的依据。重力普查是在预查、航磁和地质预查基础上,在具有进一步工作价值地区开展工作(比例尺为1/10万~1/20万),目的为了划分区域构造。重力详查的目的是为了比较详细地(比例尺为1/2.5万~1/5万)研究工作地区重力场分布的规律和特点以便能圈定构造和地质体。重力细测(比例尺为1/1万~1/500万)的目的则是为了确定构造、岩体或产状等的细节。测点的密度要求为在相应比例尺的重力图上每平方厘米范围内有0.5~1.0个测点。
在观测时,由于重力仪本身弹性系统的弹性疲劳、温度补偿不完全以及日变等因素的影响,读数的零点值随时间而变化,这个变化称为零点位移。测量时要在测区内建立一些基点,总基点组成基点网,以便对重为仪的读数进行零点位移改正。