一、电阻率测井
通过测量沿井孔的视电阻率的变化,来研究某些井孔地质问题的测井方法称为电阻率测井。电阻率测井是最基本的,也是最常用的地球物理测井方法之一。它主要包括有视电阻率测井、侧向测井及单极测井等。它们都是以岩(矿)石电阻率的差异作为方法的物质基础,以点电源场的理论为方法的理论基础。
(一)视电阻率测井原理
视电阻率测井原理如图10-2所示。
假设地下充满电阻率为ρ的均匀介质,沿井轴放入供电电极A及测量电极M、N。暂不考虑井孔、井液的影响。由于电极本身尺寸远远小于电极之间的距离,可以将电极看成是置于均匀各向同性介质中的点电极。对于一个全空间、均匀各向同性介质中的点电流源的电场,则有


图10-2 视电阻率测井原理线路图
式中:
为场源指向观测点的向量;r为场源到观测点的距离。
由于B极置于地面,可以认为是在无穷远处,故它在M、N极之间形成的电位差为零。因此由供电电极A和B在MN之间形成的电位差,就是A、B极供电时,A极在M、N极之间形成的电位差。
![]()
由此有


(二)电极系

图10-3 电极系示意图
进行视电阻率测井时,一般将一个电极置于地面井口附近,另外三个电极放入井中,让其沿着井轴移动,边移动井中的电极,边进行测量(测量供电电流I及电位差ΔUMN)。放入井中的三个电极合在一起被称为电极系。组成电极系的三个电极中,有两个是串联在同一回路中的,称其为成对电极。另外一个电极称为不成对电极,它与地面的电极串联在同一回路中。根据成对电极与不成对电极之间的距离,把电极系分为梯度电极系和电位电极系两类(图10-3)。
1.梯度电极系
成对电极之间的距离远小于中间电极到不成对电极之间距离的电极系,叫梯度电极系。其视电阻率表达式为

成对电极之间的距离为无限小(即MN→0)的梯度电极系,其视电阻率可写成

式中:L=AO,为梯度电极系的电极距(O为成对电极的中点);E为O点的电场强度。
由式(10-6)和式(10-7)可知,如测量过程中保持供电电流大小不变,用梯度电极系所测得的视电阻率与成对电极中点的电位梯度(或电场强度)成正比。这便是梯度电极系名称的由来。
梯度电极系中,成对电极在单个电极上方时,所测得视电阻率曲线以极大值反映出高阻岩层顶面的位置,故称其为顶部梯度电极系。反之,若成对电极在不成对电极下方时,所测视电阻率曲线以极大值反映高阻岩层底面位置,称其为底部梯度电极系。
2.电位电极系
成对电极之间的距离远大于中间电极到不成对电极间的距离的电极系,叫作电位电极系。成对电极之间的距离无限大(即MN或AB→∞)的电位电极系,叫作理想电位电极系。对于理想电位电极系,其视电阻率表达式为

式中:L=AM,为电位电极系的电报距;UM为M点的电位。
记录点取在相近的两个电极间的中点。
由式(10-8)可知,如在测量过程中保持供电电流大小不变,则采用电位电极系测得的视电阻率与M点的电位成正比。这便是电位电极系名称的由来。
3.微电极系
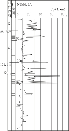
微电极系是在普通电极系电阻率法测井基础上发展起来的微电极系电阻率测井中所使用的电极系。它是一种电极和电极距都很小的电极系,结构如图10-4所示。目前我国使用的一组微电极系是电极距为0.05m微电位电极系和电极距为0.0375m的微梯度电极系(AM1=0.025m,M1M2=0.025m)。

图10-4 微电极系结构图
1—电机系主体;2—弹簧;3—绝缘板;4—电缆
4.电极系的符号表示
通常用文字符号表示所使用的电极系。其表示方法是:按照电极系中各个电极在井孔中由上而下的排列顺序,从左至右地写出各个电极名称的字母,在字母之间写上相应电极之间以米为单位的距离。例如:A2.0M0.2N,表示一个电极距L=2.1m的底部梯度电极系;B2.5A0.1M,表示一个电极距L=0.1m的电位电极系;A0.025M10.025M2,表示一个电极距L=0.0375m的微梯度电极系;A0.05M,表示一个电极距为0.05m的微电位电极系。
(三)视电阻率测井理论曲线
图10-5给出了顶部梯度电极系和电位电极系对不同厚度的高阻岩层所对应的视电阻率曲线。
1.梯度电极系视电阻率曲线特点
由图10-5(a)可以看出:
(1)对单一的高阻水平岩层,视电阻率曲线不对称。对应于高阻岩层处有ρs曲线凸起——高视电阻率值(对应低阻水平岩层有ρ,曲线凹下——低视电阻率值)。
(2)顶部梯度电极系测得的ρs曲线,在高阻水平岩层上界面处出现ρs极大值,在下界面处出现ρs极小值。采用底部梯度电极系测井时,其ρs曲线与顶部梯度电极系的ρs曲线成镜像,高阻层的顶界面为ρs极小值,底界面为ρs极大值。
(3)当岩层很厚时(h≫L),对应于岩层中部测得的ρs值接近岩层自身的真实电阻率值ρ岩。
(4)当岩层厚度小于极距时,由于高阻层的屏蔽作用,当三个电极在界面同一侧,且单个电极在界面处时,ρs曲线出现一个次(假)极值。
2.电位电极系视电阻率曲线特点
由图10-5(b)可以看出:
(1)对应于上、下围岩电阻率相同的岩层,电位电极系测得的ρs曲线是对称的。
(2)当岩层很厚时,对应岩层中部测得的ρs值接近岩层本身的真电阻率值ρ岩。
(3)对应于岩层上、下界面,ρs曲线各有一段长度等于电极距L的ρs等值段,该直线段的中点对应于岩层的界面。
(4)当岩层较薄(h<L)时,对应于高阻岩层的ρs曲线出现凹下(低值);对应于低阻岩层反而出现ρs曲线凸起(高值)。可见电位电极系不宜于用来划分薄地层。
(四)影响视电阻率测井曲线的主要因素
1.井孔、井液的影响
上述理论曲线,是指理想电极系垂直穿过地层,处于地下全空间时的视电阻率曲线。实际上井孔穿过地层,地下不是完整的全空间。井孔中充满了井液,井液电阻率与井孔周围岩层电阻率值一般不等。由于井孔、井液的影响,视电阻率测井所测得的ρs曲线突变点消失,曲线变得光滑了,且一般ρs值有所下降。但ρs曲线的基本特征保持不变。
一般电极距越小,井孔、井液影响越大。井孔对ρs曲线的影响,随着岩层电阻率和井液电阻率差异增大、井径增大以及电极距变小而增加。相比较而言,井液对梯度电极系所测ρs曲线的影响,大于井液对电位电极系测得的ρs曲线的影响。因此,在反映岩层电阻率变化和计算岩层电阻率方面,使用电位电极系,一般比使用梯度电极系的效果要好。
2.MN大小的影响
实际工作中梯度电极系的MN≠0,因而使ρs的极大值减小。同时,使记录点从电极系最外边向A电极移动MN/2,所以记录的曲线也向A极移动了MN/2,反映高阻层界面的ρs极大值点的位置,相对界面处向A极一侧(A为不成对电极)移动MN/2;同样,ρs极小点位置也相对界面处向A极(单个电极)一侧移动MN/2,如图10-6所示。

图10-5 视电阻率曲线图

图10-6 MN大小不同的顶部梯度电极系所测得的ρ曲线(ρ1=10ρ2)
1—
=0;2—
=0.2;3—
=0.5;4—
=1
对电位电极系,当MN<H时,电位电极系ρs曲线随MN的减小越不对称,而且逐渐相似于梯度电极系测得的ρs曲线,如图10-7所示。
实际工作中通常选用电极距为中等长度的电极系作为最佳电极系。一般要求电极距L大于3~5倍井径,以便才能消除井孔的影响;同时电极距又要小于目的层厚度,以便于划分层面。

图10-7 MN大小不同的电位电极系测得的ρs曲线
3.相邻地层的影响
当岩层厚度比较薄、在电极系的探测范围内有几个薄层存在时,对应于任何一个岩层处所测得的ρs值,都会受到邻近岩层的影响。特别是当有不同电阻率的岩层交互成层时,邻层的影响尤其显著。图10-8是两个电阻率相同、厚度相同的相邻高阻薄层,采用不同电极距的梯度电极系ρs曲线。由图10-8(a)可以看出,对于底部梯度电极系,当相邻岩层间距离大于电极距时,由于上部高阻薄层对电流的排斥作用,对应于下部高阻层处测得的ρs值明显增大。而当两岩层间的距离小于电极距时,由于上部高阻层对电流的屏蔽作用,对应于下部高阻薄层处测得的ρs值明显减小。对于顶部梯度电极系,同样有相邻层的影响问题,只是受影响的是上面一层而不是位于下面的岩层,如图10-8(b)所示,可运用与图10-8(a)相同的方法进行分析。

图10-8 两相邻薄层附近的ρs曲线
不难理解,当相近岩层电阻率大小不同、厚度不同、岩层间距离不同以及电极距大小改变时,它们所带来的影响是很复杂的,以至难以应用ρs曲线来确定岩层界面位置、岩层电阻率,甚至难以用ρs曲线区分岩层电阻率的相对大小。为了正确划分岩层界面,在进行视电阻率测井时,应配合进行其他测井方法,如微电极系测井、侧向测井等测井工作。
(五)视电阻率测井的应用
视电阻率测井可以用来划分井孔剖面,以及确定岩层真实电阻率,确定含水层位等。
1.划分井孔剖面
从对视电阻率测井理论曲线特点的分析我们可以看出,视电阻率测井曲线对高阻厚层有明显的反应。
通常应用梯度电极系ρs测井曲线划分高阻厚层上界面时,从ρs曲线极值点处向着由单个电极指向成对电极的方向移动MN/2,以此确定界面位置;划分底界面时,亦是由ρs曲线极值点处向着由单个电极指向成对电极的方向移动MN/2来确定界面位置,如图10-9(a)所示。对于岩层厚度小于极距的薄层,可利用ρs曲线2/3极大值点的位置确定高阻岩层界面,如图10-9(b)所示。
(https://www.daowen.com)
图10-9 利用梯度电极系ρs曲线确定岩层界面

图10-10 利用电位电极系ρs曲线确定岩层界面
当使用电位电极系测井ρs曲线划分界面时,对于高阻厚层(h>5AM),可根据ρs曲线拐点位置确定岩层界面,如图10-10(a)所示。对于中厚层(AM<h<5AM),可以利用ρs曲线半极值点位置确定岩层界面,如图10-10(b)所示。
2.确定岩层电阻率近似值
我们知道视电阻率测井所测得的视电阻率值大小受诸多因素影响。但是,当岩层厚度比电极距大很多时,围岩影响可以忽略不计;当电极距比起井径来大很多时,井孔影响可以忽略不计。所以当岩层厚度相当大时,可将电位电极系测得的ρs极大值作为岩层电阻率的近似值。亦可利用梯度电极系测得对着岩层的ρs曲线的平均值,并作为该岩的电阻率似近值。
3.确定含水层及咸淡水分界面
在一定条件下视电阻率测井所测得的ρs值主要取决于岩层电阻率大小,而岩层电阻率的大小又主要取决于岩性、孔隙率、含水程度和水的矿化度。这样同一地区视电阻率的变化反映了地层岩性(如黏土或是砂层等),而对同一类岩层(如砂层)视电阻率的变化则反映了该层含水的矿化度变化。由此可以利用视电阻率测井ρs曲线并配合其他测井方法(如自然电位测井)确定含水层位及咸淡水分界面。
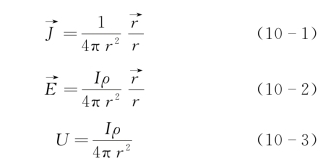
4.应用实例
利用视电阻率测井曲线划分地层。淮北宿县地区第四纪地层经地质工作者初步划分如下:
(1)全新流Q4。黏土及砂层交替成层,含水层普遍发育,且该层地下水矿化度较低。对应全新流地层地段的视电阻率测井ρs曲线为高、低阻值的锯齿状曲线,似一厚层,没有纯黏土层的低平电阻率曲线特征。
(2)上更新流Q3和中下更新流Q1-2。该区段地下水为淡水。上更新流Q3含钙质结核及锰铁结核,黏土含砂成分多。对应砂层和亚砂土的视电阻率测井ρs曲线显示为高电阻率异常(20~40Ω·m)。对应黏土、亚黏土约ρs值较低(5~100Ω·m)。中下更新流Q1-2地段钙质结核显著减少,黏土质地较纯。因此对应中下更新流Q1-2的黏土、亚黏土层的视电阻率测井ρs值更低,表10-1给出了钻孔中黏土、亚黏土视电阻率ρs的平均值。对应不同时代的黏土、亚黏土井段的平均视电阻率ρs曲线呈台阶状分布。不同的台阶反映了不同地质时代的地层。
表10-1 钻孔中黏土、亚黏土平均ρs值 单位:Ω·m

* 指该孔中下更新流(Q12)黏土、亚黏土的视电阻率平均值不同,分为两段,Q1-2内还有台阶。
根据这些特点,利用视电阻率测井ρs曲线,在宿县地区划分了第四纪地层所属地质年代,并校正了某些钻孔资料。图10-11为视电阻率测井实测曲线。
(六)微电极系电阻率测井
微电极系电阻率测井是在普通视电阻率测井基础上发展起来的。普通视电阻率测井难以分辨薄层,为此设计了微电极系。它是电极间距离很小的电极系,可以用来划分几厘米厚的薄层、夹层。但是由于极距很小,探测范围也就很小,只能探测井壁附近的情况,其深度不超过10cm。主要用来划分薄层、夹层,划分渗透性岩层以及测量岩层的电阻率。
微电极结构如图10-4所示。工作时装在绝缘板上的电极系被弹簧紧压在井壁上。观测过程中微电极系始终贴着井壁进行测量,以减小井液的影响。
微电极系同样也分为微梯度电极系和微电位电极系两类,其线路原理如图10-12所示。微梯度电极系测量范围约为极距的1~2倍,微电位电极系的测量范围是电极距的2~3倍。其测量结果仍以视电阻率ρs表示。
![]()

图10-11 利用ρs曲线台阶划分地层实例

图10-12 微电极系测量原理线路
式中:K为电极系系数,它与电极尺寸,极板形状、大小等有关,可通过实验方法求出。
由于微电极系极距很小,且测量过程中电极系紧贴井壁,所以遇到不同电阻率岩层时,尽管岩层厚度不大,也会引起视电阻率的变化,由此可根据视电阻率的变化划分薄层、夹层。同时所测视电阻率接近岩层电阻率。特别是对非渗透岩层或泥岩,黏土层两种微电极系所测得的视电阻率值均接近其岩层真电阻率值。
此外,可利用微梯度电极系和微电位电极系探测范围不同划分渗透性岩层。前已述及对非渗透性岩层,两种微电极系测得的视电阻率值均接近岩层真电阻率值。而对于渗透性岩层,由于泥浆的浸入,以及在井壁处形成泥饼,井壁附近不同深度处的电阻率大小不同。一般泥饼电阻率高于泥浆电阻率1.5~2倍,但比浸入带电阻率低很多。进行测井时,微梯度电极系探测范围小,受泥饼影响大,测得的视电阻率值偏低。而微电位电极系探测范围大,受浸入带影响大,所测得的视电阻率值偏离。两种微电极系在同一深度处对应同一(渗透性)岩层所测得的视电阻值不等。ρs曲线不重合,而有一差值。我们称微电位电极系测得的视电阻率值高出微梯度电极系所测的视电阻率值那部分为正幅度差。岩层渗透性越好,正幅度差越大。所以,根据微电极系所测ρs曲线出现正幅度差,从微电极系视电阻率测井ρs曲线中能划分出渗透性岩层。图10-13便是应用这种方法划分渗透性岩层的实例。
(七)其他电阻率测井
1.侧向测井
普通视电阻率测井,由于受井孔、井液等因素的影响,当岩层较薄、电阻率高、井液电阻率却较低时,大部分电流将沿井液流过,只有小部分电流流进地层,这样就无法求出准确的地层电阻率。使得普通视电阻率测井区分不同岩层效果变差。为解决这一问题,提出了侧向测井方法。侧向测井也叫聚焦电阻率测井或聚流电阻率测井。这种方法能较准确地划分出高阻薄层,测出岩层电阻率大小。
(1)方法原理。侧向测井与普通视电阻率测井方法上的主要区别在于使用的电极系不同。侧向测井按其电极系的结构特点和电极数目不同,可分为三电极侧向测井(简称三侧向)、六电极侧向测井(简称六侧向)、七电极侧向测井(简称七侧向)等。
我们通过对三电极侧向测井电极系的工作原理的分析来说明侧向测井的方法原理和实质。
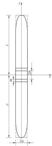
图10-14是三电极侧向测井电极系的结构和电流分布图。其电极系由三个被绝缘物隔离开来的、直径相同的金属圆柱体组成。中间的电极叫主电极,以A0表示,上、下两个电极叫屏蔽电极,以A1和A2表示。三个电极通以相同极性的电流,并保持它们电位相等。由于主电极和屏蔽电极的相互影响,致使主电极流出的电流不能像普通电极系供电电极流出的电流那样向各个方向流去,而是近似水平地呈圆盘状流入岩层,从而大大地减小了井液和相邻岩层对观测结果的影响,提高了视电阻率测井的分层能力。

图10-13 微电极系测井应用实例
实线—微梯度;微虚线—微电位

图10-14 三侧向电极系及电流分布图
1—绝缘层;2—主电极流出电流;3—电流线
与普通视电阻率测井一样,三电极侧向测井仍可测量供电电流、电位差,计算视电阻率,其单位仍是Ω·m,按下式计算视电阻率:

式中:UA0为主电极的表面电位(即A0极与无穷远处的电位差);I0为A0极的供电电流,在工作过程中保持不变;K为三侧向测井的电极系系数。
K是与电极尺寸、结构有关的常数。可以通过试验的方法或理论计算求出。试验方法是:将电极系放入电阻率为已知的介质中,测出主电极的表面电位UA0和主电极的供电电流I0,将其代入式(10-9),反算出K值。理论计算的方法是将电极参数代入下式求出:


图10-15 三侧向电极系尺寸图

![]()
也就是说三电极侧向测井测得的ρs与主电极A0的径向接地电阻成正比,它直接反映了径向接地电阻的大小变化。这电阻大小与电流通过的空间直接有关。为使其更好地反映单一岩层的电性,应尽量减小井液和围岩的影响,合理地选择电极系参数。通常电极系长度越大,主电流的聚焦效果越好,围岩影响越小,探测深度(指垂直井壁的横向尺寸)越大,一般选L≥(10~15)d0;主电极长度大小影响分层能力,L0越小,分层能力越强,且L0/d0越小,ρs极值越趋近于岩层的真电阻率值。一般选用L0=(1~1.2)d0;为减小井孔、井液影响,要适当加大ds,一般选取ds=(0.5~0.75)d0;绝缘层厚度一般选为10~20mm。
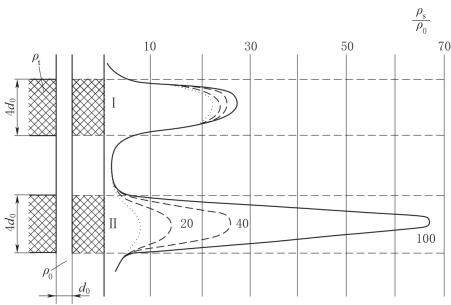
(2)三电极侧向测井曲线特点及应用。图10-16给出了有上、下两个高阻层,其间相距4倍井径(4d0),下层介质电阻率由10ρm(ρm为围岩电阻率)变至100ρm时,对应上、下两层三电极侧向测井法测出的ρs曲线。
图10-17给出了不同电阻率、不同厚度岩层组所对应的三电极侧向测井和普通视电阻率测井所测得的视电阻率曲线。

图10-16 三侧向测井ρs曲线

图10-17 不同电阻率、不同厚度岩层组的测井ρs曲线
由图10-16和图10-17我们可以看出:三电极侧向测井所测得的视电阻率值比普通视电阻率测井所测得的视电阻率值更接近于岩层真实的电阻率值。而且其分辨薄层、消除层间互相影响的能力均高于普通视电阻率测井。利用三侧向测井测得的视电阻率曲线,可以更方便地求出岩层真实电阻率,更精确地划分井孔剖面。
2.井液电阻率测井
(1)工作原理。井液电阻率测井采用与普通视电阻率视测井相同的测量线路。它们的基本工作原理是相同的,只是井液电阻率测井使用专门的井液电阻率计代替普通的电极系。井液电阻率计与普通的电极系结构不同。井液电阻率计内部由三个间距很小的电极(电极为环形或圆柱形)组成一个电极系,外部有一个上、下开口的圆筒形金属罩做成的外壳,如图10-18所示。

图10-18 井液电阻率计
1—电极系;2—外壳

(2)井液电阻率测井的应用。
1)确定含水层位置。已知井液电阻率值大小和井液中盐的浓度大小有关,盐浓度越大,井液电阻率越小。向清洗过的井孔中注入与地下水盐浓度不同的水(或泥浆),也就是与地下水电阻率值有明显不同的水(或泥浆)。然后每隔一定时间间隔测量一条沿井轴的井液电阻率曲线,直到能够明显地反映出电阻率异常为止。由于岩层中地下水盐浓度和注入井孔中的水的盐浓度不同发生扩散作用,同时因地下水流动,含水层附近井液盐浓度不断变小,从而使该井段所测得的电阻率值不断变大。由此根据不同时刻测得的井液电阻率曲线的变化确定出含水层位置。
为明显地测出电阻率异常,对流入量较小的井孔可采用提捞法。即井孔中充满与地下水电阻率不同的井液后,立即进行首次井液电阻率测量——控制测量。之后用水泵从井孔中抽水,降低井孔液面,进行第二次测量,并于1~2h后再进行测量。然后再抽水,重复前述做法,直至在电阻率曲线上明显地反映出水层位置为止。当出水量大时,亦可采用注入法,即改抽水为周期性的注水,并进行测量。直至井液电阻率变化停在某一深度上,不随注水而变化,这个深度即是出水层下界面。当地下水为淡水或弱矿化水时,可选用静止水位法(自然扩散法)。观测人工盐化了的井液被运动的地下水冲淡的情况,以确定含水层位置,如图1019所示。曲线旁所注t0、t1…为各该曲线的测量时刻。t0表示刚注入盐水后的时刻。
2)判断各含水层之间补给关系。当井孔穿过___不同含水层时,将井液局部盐化,形成盐水柱。测量不同时刻井液电阻率变化。根据沿井轴井液电阻率值的低值段位移情况,判断盐水柱的升降以及升降速度,从而判断地下水沿井孔的运动情况。由此确定不同含水层的补给关系。原理如图10-20所示。
井液电阻率测井还可用来检查套管止水效果。

图1019 采用静水位法、利用井液电阻率曲线确定含水层原理图
(3)应用实例。图10-21给出一应用井液电阻率测井确定出水层位的实例。井孔由黄土状亚黏土、渗透性好的砾石层及渗透性不好的砾石层组成。向井孔中注入盐水,并分别测出井液盐化前及盐化之后不同时刻井液电阻率沿井轴的变化。结合视电阻率测井曲线,划分出99~112m处为出水层位。

图10-20 利用井液电阻率变化判断地层水补给关系原理图
1—承压含水层;2—潜水含水层;3—t1时刻的盐水柱及相应的ρs曲线;4—t2时刻的盐水柱及相应的ρs曲线

图10-21 利用井液电阻率测井判断出水层位实例
1—渗透性良好的砾石层;2—渗透性不好的砾石层;
3—黄土状亚黏土;①—盐化前井液电阻率曲线;②~⑥—盐化井液后1'、16'、24'、44'和61'时测得的井液电阻率曲线