TSP环境下地震时距曲线特征
在隧道、井巷中激发地震波后,随隧道、井巷周围介质结构的不同,地震波传播的特点也是不同的。隧道、井巷波场(全空间)相对于常规(地面)地震波场(半空间)更加复杂,研究TSP时距曲线传播规律,有助于对实际复杂波场的认识,可用它来指导TSP查明隧道、井巷掌子面前方及周围地质体的构造特点,有效地解决实际工程地质问题。TSP时距曲线与常规地震波时距曲线一致。
(一)水平及倾斜界面时距曲线
设在O点激发,在测线上离开O点距离为x的某点S接收。水平波阻抗界面R的反射波到达S的时间t与x之间的函数关系t=f(x)就是构造面反射波的时距曲线方程[图8-19(a)]。
根据反射定律和虚震源原理,得到水平界面反射波时距曲线方程(与常规地面地震完全一样):

对于倾斜界面,设界面倾角为α,激发点O到界面的法线深度为h,界面上下的介质是均匀的,上部介质波速为V,坐标系的原点在激发点O,x轴正方向与界面的上倾方向一致[图8-19(b)]。

和
![]()
这就是常规地面地震倾斜界面反射波的时距曲线方程。上式是一条双曲线,表明水平界面、上覆介质均匀情况下TSP的反射波时距曲线是一条双曲线。根据双曲线特性可知,极小点是时距曲线极小点的横坐标。极小点总是相对激发点偏向界面上倾一侧。

图8-19 TSP反射波时距曲线
(二)时距曲线规律
通过研究分析TSP反射波传播规律,其时距曲线规律总结如下:(https://www.daowen.com)
(1)当α=0°,即构造面与隧道、井巷中轴线平行时,时距曲线为极小值过x=0的双曲线,它以直达波时距曲线为渐进线,与常规地震反射波时距曲线相似。
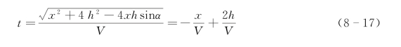
(2)当α=90°,即构造面与掌子面平行,且位于掌子面前方时,时距曲线为一条直线,其斜率为-1/V,截距为2h/V,与x轴交点于虚震源处,与常规地震折射波时距曲线相似。此时时距曲线可表示为

式中:t为旅行时间;x为源距;h为分界面的厚度;V为介质传播纵波速度。
(3)当0°<α<90°时,反射波时距曲线为双曲线。界面倾角不同,出露点相同时,极小点相对激发点偏向界面上倾一侧[图8-20(a)],其极小点将随界面视倾角的增大而不断地往界面的上倾方向偏移;界面倾角不同,界面到激发点距离相同时,极小点相对激发点偏向界面上倾一侧[图8-20(b)],其位置随倾角的增大而不断地往界面的上倾方向偏移,极小值t0不断减小。两者都是极小点的左半支相对震源O而言(仪器接收范围),具有负向时距曲线(负视速度)特征。

图8-20 不同界面倾角的时距曲线
O*—O点的镜像
(4)当α=-90°,即构造面与掌子面平行,且位于掌子面后方时,式(8-16)演变成式(8-18),时距曲线为一条直线,其斜率为1/V,截距为2h/V,与x轴交于虚震源处,是主要干扰信号之一。

(5)当-90°<α<0°时,反射波时距曲线为双曲线。界面倾角不同,出露点相同时,极小点相对激发点偏向界面上倾一侧(掌子面后方一侧),其极小点将随界面视倾角的增大而不断地往界面的上倾方向偏移;界面倾角不同,界面到激发点距离相同时,极小点相对激发点偏向界面上倾一侧[图8-20(b)],其位置随倾角的增大而不断地往界面的上倾方向偏移,极小值t0不断增大。两者都是极小点的右半支相对震源口而言(仪器接收范围),具有正向时距曲线(正视速度)特征,是主要干扰信号之一。
(6)反射界面不管是倾斜(图8-20)还是直立(图8-21),有效信号(掌子面前方及周围反射信号)均具有负视速度特征(其余干扰信号成正视速度特征),能充分反映掌子面前方的地质构造特征。通过视速度滤波,可提取这些有效信号,从而达到超前地质预报的目的。

图8-21 距炮点不同距离,直立界面反射波时距曲线