地磁场、岩石磁性及磁异常
观测表明,地球本体及周围存在着磁场,称为地磁场。通过长期的观测,发现地球磁场的分布是有规律的,它相当于一个磁偶极子的磁场,地球的北部是S极(磁南极),地球的南部是N极(磁北极)。磁轴与地球自转轴并不重合(图9-8)。地球磁力线从磁北极回到磁南极。
1.地磁要素及分布规律
地磁场强度T简称磁场强度,它是一种矢量。在图9-9特定的坐标系中T可以分解为垂直分量Z和水平分量H。H指向磁北,H与T的夹角称为磁倾角I(规定T下倾时I为正值);H与z铀夹角叫作磁偏角,用D表示;并规定H东偏时D为正值。水平分量H又可分解为北分量Hr和东分量Hy。磁场垂直分量Z,磁场水平分量H,磁倾角I及磁偏角D统称为地磁要素,如图9-9所示。

图9-8 地球磁场示意图

图9-9 地磁要素图
磁场强度的旧单位用奥斯特Oe表示。在磁法勘探中,采用十万分之一奥斯特为测量单位,叫作伽玛或纳特(用γ或nT表示)。1γ(或nT)=10-5Oe。国际单位是安培/米(A/m),1Oe=^(1000/4π)A/m。I和D用角度单位表示。
世界地磁图反映了地磁场的分布规律,主要表现如下:
(1)两极处:Z=T=(±0.6~±0.7)×1000/4π(A/m),H=0,I=±90°
(2)赤道处:Z=0,H=T=(0.3~0.4)×1000/4π(A/m),I=0
(3)在北半球:Z和I为正值;在南半球,Z和I为负值。
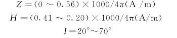
(4)在我国境内:Z、H和I值自南至北的变化范围为(https://www.daowen.com)

(5)D。我国东部和中部地区D为负,西部地区D为正,变化范围是+5°~-11°。
长期观测表明,地磁场随时间变化,有日变化、月变化、年变化、十一年变化(太阳黑子活动周期)或时间甚短的短周期变化,有时还有短时间的非周期性的强烈变化,如磁暴和磁扰等。
2.岩(矿石)的磁性

![]()

岩(矿)石的磁性除了决定于铁磁性矿物含量和种类外,还决定于岩石的结构、矿物、颗粒大小及岩石形成的物理化学条件。一般来说,岩浆岩磁性最强。由酸性岩到基性岩,铁磁性矿物含量逐渐增加,岩石的磁性也逐渐增强。沉积岩的磁性最弱,变质岩的磁性居中。
3.正常场与磁异常
地球磁场可近似用磁偶极子的磁场来描写,这在磁法勘探中称为地球的正常场T0,但实际测量到的磁场T是由地球的正常场与地球内部及地表的局部磁性不均匀体所引起的磁异常Ta组成。即有
![]()
在地面磁测中,主要测量到的是磁场的垂直分量变化值ΔZ或写为Za,叫作垂直磁异常。
![]()