五、实际应用
(一)地基分类
前已述及,常时微动与地基的固有振动特性密切相关,因此在土木工程建筑和地震小区划中,经常利用常时微动的观测结果进行地基分类。这种方法是由日本工程地震专家金井清教授提出的,后来又由田中爱一郎等人对该方法做了补充。他们根据在各种场地进行大量常时微动观测的结果,利用平均周期与最大周期、卓越周期与卓越振幅,提出两种关于地基类别的判定方案,即A、B两种方案,如图8-43所示。
金井清等还针对四种地基类别作了说明。即地基从Ⅰ类到Ⅳ类逐渐变软,常时微动周期变长。四种场地类别如下:
(1)第Ⅰ类:基岩、硬砂砾层和第三纪前地层构成的地基。
(2)第Ⅱ类:砂砾层、掺砂硬质黏土层和洪积层构成的地基。
(3)第Ⅲ类:冲积层。
(4)第Ⅳ类:腐殖土,特别软弱的冲积层和填土层。

图8-43 常时微动判定地基类别的方法
一般的方法是先用A方案,使用微动的平均周期(用2min记录内的波数计算Tm)和最大周期(记录中最长波的周期)TL。一般同一地点Tm=Tp(卓越周期),且Tm容易得到。之所以用Tm和TL,是因为当微动中出现高频干扰时,Tm比实际周期要短,而地基特性表现在最大周期中。一般情况,平均周期也可以代表地基特性。如出现疑问时再用B方案,使用卓越周期Tp和最大振幅AMP做调整。当然最好综合使用A方案和B方案对所有观测场地进行地基分类,然后用两者的平均,即可决定场地类别。如A方案为Ⅱ类,B方案为Ⅲ类,地基类别取Ⅱ与Ⅲ之间较合适。当A方案为Ⅰ类,B方案为Ⅳ类时,很难确定地基类型。A方案和B方案的结果差别越大,地基类别的不确定性就越强。
我国在1964年地震区建筑设计规范中,曾把常时微动的卓越周期规定为划分场地类别的一个定量指标,见表8-9。
表8-9 《地震区建筑设计规范》(1964)场地分类

在1978年抗震规范里,四类场地合并为三类场地,分类的定量指标被取消,主要靠一般描述确定场地类别。(https://www.daowen.com)
(二)地震小区划
地震灾害在很大程度上取决于地基的振动特性,而常时微动反映了场地土的动力特性,其中卓越周期是表示地基振动特性最重要的量。在进行建筑物抗震设计时,要使建筑物自振周期远离场地土卓越周期,以免地震时发生共振,从而达到抗震防灾的目的。如果在某地区不同地点做了大量的常时微动观测,获得了不同地点的振动特性数据,就能依据振动特性的不同,划分不同的地基。许多城市地震小区划都把常时微动的观测作为场地土工程特性调查的一个手段,有时也把常时微动的分析结果作为场地分区和表征场地动力特性的参考指标。
首先,按一定比例尺网进行常时微动测量,通过频谱分析,计算出每个网格点的卓越周期。依据工程地质资料,特别是钻孔地质柱状图和标贯(N)值,制定地基分类的判定准则,最后绘出工程地质小区划图。如大连市地震小区划,场地分类主要是根据土层的平均切变模量,同时参考了常时微动的结果及工程地质条件,表8-10列出了大连市小区划分的场地参数,其中常时微动提交的结果主要是加速度记录的主峰频率和均方根振幅。
表8-10 小区划分的场地参数

在长春市地震小区划中也给出了由常时微动观测结果所作的分区图,见图8-44。

图8-44 长春市地震小区划分布图
分区的主要依据是功率谱的卓越周期。Tp<0.125s为主构成的一类用I表示,其中包括Ⅰ1~Ⅰ5,场地整体刚度较大,表现为硬土类特征;卓越周期Tp=0.3~0.7s为主构成的一类用Ⅲ表示,其中包括Ⅲ1~Ⅲ3,Ⅲ类场地为第四系沉积物较厚、场地整体刚度较小的软土类地基;介于两者之间的是卓越周期Tp=0.25s的Ⅱ类场地。
(三)常时微动与砂土液化
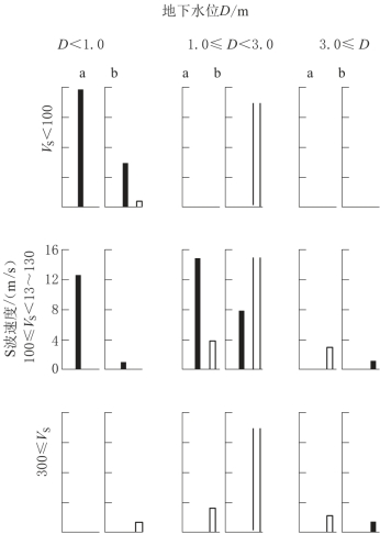
1983年日本的秋田、青森县受7级地震的破坏,地基的砂土液化造成的震害比较突出。野越三雄在液化震害最严重的能代市以常时微动测试为主,结合表层波速测试、土质调查等,详细地研究了液化震害与常时微动特性之间的关系,指出在非液化地点与液化地点的土层物理特性有明显的不同。前者常时微动的频谱比较简单,后者则较复杂,特别是后者在稍高频区段里有明显峰值,将其分成a型谱与b型谱,并且与同时测到的表层S波速度、地下水位进行了比较。图8-45是常时微动谱型、地下水位、表层S波速度与液化频数的关系。由图8-45可见,在地下水位小于1m、S波速度小于100m/s时,常时微动谱型呈现a型的场地液化概率最高;当地下水位小于3m、S波速度大于130m/s时,a型场地液化的可能性也较多。上述特征在其他地区也有出现。研究表明,常时微动的观测有可能成为地震液化预测研究的一个重要手段。

图8-45 微动谱、地下水位和S波速度与液化频数关系示意图