2.1.2 毕肖普法
毕肖普考虑了条间力的作用,并按照式(2.1)关于安全系数的定义,在1955年提出了一个安全系数计算公式。如图2.4所示,Ei及Xi分别表示法向及切向条间力,Wi为土条自重,Qi为水平作用力,Ni、Ti分别为土条底部的总法向力(包括有效法向力及孔隙应力)和切向力,其余符号见图2.4。根据每一土条垂直方向力的平衡条件有


图2.4 毕肖普法
按照安全系数的定义及摩尔—库伦准则,Ti可用式(2.7)表示,代入式(2.8),求得土条底部总法向力为:

在极限平衡时,各土条对圆心的力矩之和应当为零,此时条间力的作用将相互抵消。因此,得
![]()
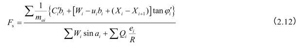
将式(2.7)、式(2.9)代入式(2.11),且Xi=R sin αi,最后得到安全系数的公式为

式中,Xi及Xi+1是未知的,为使问题得解,毕肖普又假定各土体之间的切向条间力均略去不计,也就是假定条间力的合力是水平的,这样式(2.12)。
可简化成

这就是国内使用相当普遍的简化毕肖普法。因为在mα内也有FS这个因子,所以在求FS时要进行试算。在计算时,一般可先假定FS=1,求出mα(或假定mα=1),再求FS,再用此FS,求出新的mα及FS,如此反复迭代直至假定的FS和算出的FS非常接近为止,根据经验,通常只要迭代3~4次就可满足精度要求,而且迭代通常总是收敛的。
必须指出:对于αi为负值的那些土条,要注意会不会使mα趋近于零,如果是这样,则简化毕肖普法就不能用。这是由于既在计算中略去了Xi的影响,又要今各土条维持极限平衡,在土条的αi使mα趋近于零时,Ni就要趋近于无穷大,当的绝对值更大时,土条底部的Ti将要求和滑动方向相同,这是与实际情况相矛盾的。根据某些学者的意见,当任一土条其mα≤0.2时,就会使求出的FS值产生较大的误差,此时就应考虑Xi的影响或采用别的计算方法。
为了考虑Xi的影响,除了采用以下各节介绍的方法外,也可以用式(2.12)。对于比较平缓的均质土坡,式中Xi-Xi+1值可以用潘家铮根据弹性理论锥求出来的简化式(2.13)加以估算,即
![]()
式中β是土坡的坡角,Kβ是一个系数可用下式计算

式中,a、b为与坡角β有关的两个系数,中给出了它们的值,γ为泊松比
值大致在0.6~1.0之间变化。Xi力沿水平轴的分布,一般呈两端为零、中央凸出的曲线形,从而在边坡顶部几个土条的(Xi-Xi+1)值一般为负,而靠近边坡出口处则常常为正。而且因为Xi是各土条之间的内力,对整个土体来说,必须满足∑(Xi-Xi+1)=0的条件。
为了能迅速求出用有效应力分析得到的最小稳定安全系数,毕肖普和摩根斯坦在1960年提出了稳定系数法。他们应用简化毕肖普法对没有戗道的均质土坡进行了分析,认为对一定的抗剪强值,土坡最小稳定安全系数Fsmin与整个土坡断面的平均孔隙应力比ru接近于直线关系,见图2.5,即(https://www.daowen.com)
Fsmin=M=Nru
式中孔隙应力比ru是用下式定义的,即

其中 u——土坡断面中某一点的孔隙应力;
h——该点至坡面垂直距离;
γ——土的容重。

图2.5 系数a,b值ru计算范围
地基与填方土质无显著差别时,最危险滑裂面也可能深入坝基内,此时并无明显的硬土层存在。有的硬土层埋藏很深,最危险滑裂面底部不一定与它相切,为此,需要利用图2.6中以虚线表示的等rue线,求出最危险滑裂面的深度因素δ,再由这个δ来求出稳定系数M、N。此时对于给定的一组参数
必有一个孔隙应力比使δ比较低时的安全系数与δ比较高时的安全系数相等。这一孔隙应力比即以rue。表示为

式中 M2、N2——由比较深的δ求出的稳定系数;
M1、N1——由比较低的δ求出的稳定系数。
当一个土坡的
值已经确定,可以先由
根据m及φ'查图上的虚线,得到相应的rue,如果rue<ru,则说明δ=1.25时的安全系数比δ﹦1.0时为低,需要利用δ﹦1.25的图进一步检查,直到求出的rue>ru,则相应的δ就是最危险滑裂底部经过的那个深度因素,可由此查得M、N并算出Fsmin。

图2.6 m、φ'、
参数
例如:某均质土坡,
坡比为1∶4,φ'﹦30°,设计的ru=0.5,第一层硬土层的深度因素δ=1.43,求最小稳定安全系数Fsmin。
解:(1)由
m﹦4,φ'﹦30°查图2-5(d),得δ﹦1.0时rue<0.5,因此δ﹦1.0,不是最危险滑裂面底部所在深度。
(2)同样由
m=4,φ'=30°查图,得δ=1.25时,ru=0.72,因为rue>ru,所以虽然实际的δ﹦1.43,但最危险滑裂面底部的深度因素却为δ=1.25。
(3)由图查出M=3.2,N﹦2.8。
(4)计算Fsmin。
Fsmin=3.2-2.8*0.5=1.8