2.2.4 爆破作业
爆破,是指炸药经引爆借助其化学分解释放出的大量气体和巨大能量,使周围的介质受到各种不同程度的破坏。在实际施工作业中,可能会出现大型孤石,必须实施爆破作业,但是特别强调一点:在滑坡体上仅能采取局部爆破,且不能对滑坡体产生影响,严禁在滑坡体上采取大规模爆破作业。
1.爆破作用圈
炸药在岩石的炮眼中爆炸,在装药内部产生爆轰波,爆轰波2 000~7 000 m/s或4 000~6 000 m/s的速度沿炮眼传播。越靠近药包中心,受到的破坏就越大。通常可按爆破影响的范围分为不同的爆破作用圈:
(1)破碎圈。处于药包周围的岩石直接承受巨大的冲击波压力而粉碎。如果是可塑性的泥土,便会删压缩而形成孔穴。所以破碎圈也叫压缩圈。
(2)抛掷圈。当压缩波到达临空面(即自由面)时,由自由面反射变成拉伸波。被破碎的岩石朝自由面方向扩张,脱离岩体而产生抛掷现象,并形成爆破漏斗。
(3)破坏圈。在这个范围内,虽然不产生抛掷运动,但岩石构将受到不同程度的破坏,有的成为碎块,部分形成裂缝,相互间仍连成整体。
(4)振动圈。在这个范围内,爆破作用已减弱到不能使岩石结构产生破坏,只是发生振动。
2.爆破漏斗
爆破漏斗,是由于冲击波的作用,使部分岩石沿自由面被抛掷而形成的。它由下列参数确定:
(1)爆破漏斗半径r,即漏斗上口的圆周半径。
(2)最大可见深度h,即从坠落在坑内的岩石碎块表面到自由面的最天距离。
(3)最小抵抗线W,即从药包中心到自由面的最短距离。
(4)爆破作用半径R,即从药包中心到爆破漏斗上口边沿的距离。
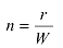
爆破漏斗的形状和大小,依据岩石的性质、炸药性能和药包大小、药包埋置深度等而不同。通常以爆破作用指数(n)表示,并用以区分不同的爆破类型,即
![]()
式中 n——爆破作用指数;
r——漏斗半径(m);
W——最小抵抗线(m)。
当n=1时,即r=w,为标准抛掷爆破类型,称标准抛掷爆破漏斗。特点是部分岩石被抛出。
当n>1时,即r>W,为加强抛掷爆破型,称为加强抛掷爆破漏斗。特点是爆后绝大部分岩石被抛出。
当n<1时,即r<W,为减弱抛掷爆破型,称为减弱抛掷爆破漏斗。特点是爆后绝大部分岩石不能被抛出。
在爆破工作中,自由面(即岩石的临空面)愈多,爆破效果愈好。此外,炮眼设置的方向不同,爆破效果差异也很大。据实验表明炮眼垂直自由面的爆破效果仅为炮眼平行自由面的爆破效果的1/10。
3.药包量计算
药包量是指药包的重量。药包按爆破作用分为内部作用药包、松动药包、抛掷药包准抛掷药包和加强抛掷药包)和裸露药包。内部作用药包是当药包爆炸时,破坏作用仅限于地层内部压缩,不显露临空面。松动药包只使岩石内部破坏到临空面,但不产生抛掷运动。抛掷药包的作用是形成爆破漏斗。裸露药包是指放在被爆破体或岩石表面上的药包,爆炸后可使被爆体或岩石破碎或飞移。
(1)标准抛掷药包量Q的计算。
在标准抛掷药包爆破的情况下,所爆除的岩石体积,即为标准爆破漏斗的体积
![]()
所以 Q=e·qW3
式中 Q——所需药包重量(kg);
W——最小抵抗线(m);
q——岩石单位体积炸药消耗量(kg/m3)(见表2-1);
e——炸药换算系数(见表2-2)。
表2.1 标准抛掷药包的炸药单位消耗量q值

表2.2 炸药换算系数e值

以1号露天铵梯炸药为标准计算,当用其他炸药时,需乘以换算系数e值。表中所列q值,系指一个自由面的情况,如两个自由面,应乘以0.83,三个自由面乘以0.67。
表2-1中q值是在药孔填塞良好,即堵塞系数(实际堵塞长度与计算堵塞长度之比)为1的情况下定出,如堵塞不良,应视具体情况乘以1~2的堵塞系数。
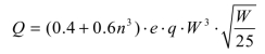
(2)加强抛掷药包量Q的计算。(https://www.daowen.com)
当W<25 m时为:
Q=(0.4+0.6n3)·e·q·W3
当W>25 m时为:

式中 n——爆破作用指数
(3)松动药包量Q的计算。
Q=0.33e·q·W3
(4)内部作用药包量Q的计算。
Q=0.2e·q·W3
由于影响爆破、破碎效果的因素很多,在实际爆破工作中,应根据下述各种条件并结合实践经验合理选择计算中的各项爆破参数确定药包量,以便获得预期的爆破效果。
(1)地质条件。应了解岩石的岩性、坚硬、强度、破碎和风化程度,以及地质构造、岩层层理、节理、裂隙和断层等,这些都会影响单位体积耗药量和爆破范围、形状及破碎状态。对于坚硬、强度高且地质构造完整的岩石,需要的药包量多;节理、裂隙多和有断层的岩石,由于会引起漏气,降低爆破威力,也会影响爆破效果。
(2)地形条件。指地面的形状。如地形只有一个临空面时,炸药消耗量就大,爆破方数少;地形临空面多,爆破时受约束面小,炸药消耗量少,爆破方数也多,如表2.3所示。
表2.3 药包重量、爆破体积与临空面的关系

(3)施工条件。诸如装药数量和密度,有水部位的防水,防潮,堵塞材料和堵塞密实程度,以及爆破技术等都会影响爆破效果。
4.炸药和起爆器材
(1)炸药。
炸药是一种由可燃元素(碳和氢)及含氧元素组成的化合物或混合物。它能在热能(加热、火花)、机械能(撞击、摩擦)或爆炸能的外界条件作用下而产生爆炸。按照在爆破过程中所起的作用不同,炸药可分为主要炸药和引爆药物;根据猛烈程度,可分为缓性炸药和猛性炸药。
常用的主要炸药有以下几种:
①硝铵炸药。
硝铵炸药又称岩石炸药。它的组成成分是硝酸铵,梯恩梯(即TNT、三硝基甲苯)和水粉或煤粉等。运输及使用较为安全,但易受潮结块,以致爆炸不完全,甚至拒爆。
②铵油炸药。
这种炸药是低敏感性炸药,由硝酸铵与少量液体燃料(轻、重柴油、煤油等)混合而成。其原料来源广,加工方法简单,使用、运输安全,成本低廉,在爆破石方中大量使用。
③硝化甘油胶质炸药。
主要成分为硝化甘油。这种炸药威力较大,爆发反应迅速,适用于坚硬岩石的爆破。它属于猛性炸药,因此在运输和使用时要注意安全。具有防水性,可用于水下或较潮湿处的爆破工程。
④黑色炸药。
由硝酸钾、硫黄及木炭按一定比例混合后湿磨而成的粉末状物质,为缓性炸药,爆破力较小,爆发反应迟缓,适用于中等硬度以下的岩石或开采料石。这种炸药制备简易,成本低,使用安全。
⑤引爆炸药。
主要炸药需要有敏感度更高的引爆炸药引爆。引爆炸药有雷汞,迭氮铅、黑索金、泰安等,威力较大,一般放置在雷管中。
(2)起爆器材。
①导火线:在爆破工程中传递火焰引燃普雷管或药包之用。内部为黑火药芯,依次包缠有棉线,黄麻(或亚麻),四号石油沥青/牛皮纸,外面再用棉线缠紧,敷以涂料,使织物纤维不致松散。其燃烧速度约为10 mm/s。
②传爆线:外形与导火线相似,但线芯是采用猛度大爆速高的引爆炸药,如泰安、黑索金等制成,一般用于药包间的连接,以达全部药包同时爆炸的目的。
③雷管:雷管在爆破工程中引爆炸药,是装有引爆炸药的铜、铝等金属或纸板制成的管状制品。雷管分为普通雷管和电雷管两种。
a.普通雷管:导火线火花通过金属帽的孔口使正起爆药首先爆炸,而后副起爆药爆炸继而引起主要炸药爆炸。
b.电雷管:与普通雷管相似,只是以电阻丝通电后点燃缓燃剂,从而引起炸药爆炸。
④电源:电气起爆的电源,有干电池、蓄电池、放炮器、照明电力线路及动力电力线等。
放炮器的规格有10发(每次能起爆串联10个电雷管)、30发、50发和100发等。干电池和蓄电池用于规模较小的爆破作业。照明或动力电力线路,在药包多、准爆电流需要大的情况下,是最可靠的起爆电源。
⑤电气起爆测量仪表:如小型欧姆计、爆破电桥、伏特计和安培计、万能电表等。
小型欧姆计适用于检查电雷管和电爆线路的导电性,以及电路是否接通或近似的电阻数值,爆破电桥用以测量电雷管的电阻和全部电爆网上的电阻。使用前,须先用万能电表或安培计检测其两接线柱上输出电流数值,为了使用安全,最大电流不得超过50 mA。伏特计和安培计分别用于测定电源线路中的电压和电流。万能电表主要用于检查爆破电桥,或作为伏特计和安培计使用,但不能用以测量电雷管的电流。
5.起爆方法
如前所述,药包的爆炸,必须给予一定的热能和机械能等外界条件,才能使炸药爆炸,这就是起爆(引爆)。在工程中常用的起爆方法有:火花起爆法、电力起爆法、传爆线起爆法和导爆管起爆法等。
①火花起爆法:是利用导火线在燃烧时的火花引爆雷管,先使药卷爆炸,然后使药包爆炸。使用的材料主要有火雷管(普通雷管)、导火线及点火材料。起爆药卷只能在爆破地点或装药前制作该次所需量,不得先制成成品备用。导火线使用前,应将浸有防潮剂的线端剪去,将剪平整的一端插入火雷管最底部,使药芯正对传火孔结合牢固,另端剪成椭圆面,并将头部捏松,以便点火。导火线在爆破中所取长度,应根据燃烧速度试验和在点火后能避入安全地点的时间确定,但最短不得小于1.2 m。
②电力起爆法:是利用电雷管中电力引火剂的通电发热燃烧使雷管爆炸,然后使药包爆炸。使用的器材有电雷管、电线、电源及测量仪等。
电力起爆网路布置,其中电线用来联结电雷管,组成电爆网路。电线按其在网路中作用的不同,又分为脚线、端线、连接线、区域线和主线。由电雷管引出的导线称为脚线,通常采用直径0.5~0.7 mm的纱包线或塑料绝缘线。联结电雷管脚线和联接线的称为端线;连接各炮眼间的导线称为连接线,一般是采用直径1.13~1.37 mm的胶皮绝缘线或塑料绝缘线。连接主线与连接线的导线称为区域线;由电源开关器引至联结线的导线称为主线。区域线和主线,一般采用七股1.6~2.11 mm绝缘线。
电爆网路的形式有多种,常用的有单发电雷管串联网路、成对并联电雷管的串联网路和三发并联电雷管的串联网路。网路形式应根据爆破方法,一次爆破规模,工程性质,电流和爆破材料等因素确定。
单发串联网路的优点是操作简便,易于检查导线;所需导线少且准爆电流较小。但网路联结的可靠性差,若网路中某一雷管出现故障,将使整个网路拒爆。这种网路适用于装药分散,并相距较远,电源、电流不大的小规模爆破。
双发成对并联的串联网路和三发并联网路可靠性较串联大,导线和电源消耗较大。适用于每次爆破的炮眼、药包组多,且距离较远的爆破作业。
③传爆线起爆:是利用传爆线直接引起药包爆炸。由于传爆线的爆炸速度快,可以同时起爆多个药包。使用材料主要有传爆线和点燃传爆线的雷管。
传爆线起爆线路的联结类型:
串联联结法,线路简单,联结方便且接头少,但联结可靠性差。在整个线路中,如有一个药包拒爆时,将会影响到后面所有药包拒爆。目前很少采用。
分段并联法,是将联结每个药包的每段传爆线与一根传爆线主线相联结。各药包爆破互不干扰,一个药包拒爆不影响整个起爆,准爆有可靠保证。传爆线消耗量少但联结较复杂,检查不便,因联结不好,个别也会产生拒爆。这种方式在爆破工程中应用很广。
④导爆管起爆法:导爆管是一种半透明具有一定强度、韧性、耐温、不透火,内涂一薄层高燃混合炸药的塑料软管起爆材料。起爆时,以1 700 m/s左右的速度通过软管引爆大雷管,但软管不会破坏。这种材料具有抗火、抗电、抗冲击、抗水及传爆考全等性能,是一种安全导爆材料。在运输保管过程中,可作非危险品处理。它与雷管、传爆线、导火线相比,具有作业简单、安全、抗杂散电流、起爆可靠、成本低、运输保管方便和效率高等独特优点。
导爆管起爆,是利用导爆管传爆起爆药的能量,引爆雷管,然后使药包爆炸。主要器材有导爆管、普通雷管和起爆器。导爆管网路的联结与电力起爆相似,可采用串联、并联及簇联等方式。